网站首页  词典首页


请输入您要查询的字词:

 

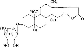
字词 铃兰毒甙[中]
类别 中英文字词句释义及详细解析
释义 铃兰毒甙[中]

C29H42O10=550.65

CAS-508-75-8

K-毒毛旋花子配基-3-L-鼠李糖甙。

K-Strophanthidine-3-L-rhamnoside.

3β-[(6-去氧-α-L-甘露吡喃基)氧基]-5,14-二羟-19-氧代-3β,5β-卡-20(22)-烯内酯。

3-[(6-Deoxy-α-L-mannopyranosyl)oxy]-5,14-dihydroxy-19-oxo-3β,5β-card-20(22)-enolide.

强心药。用于充血性心力衰竭,或心原性休克,房性心动过速。

君影草毒甙,铃兰毒苷醇。

Convallatoxin,Convallaton,Corglykon,Strophanthidin,Pelconvae,α-L-γ-Rhamnoside.

MI.

随便看

 

离鸟网收录3541549条中英文词条,其功能与新华字典、现代汉语词典、牛津高阶英汉词典等各类中英文词典类似,基本涵盖了全部常用中英文字词句的读音、释义及用法,是语言学习和写作的有利工具。

 

Copyright © 2004-2024 vtrois.com All Rights Reserved
更新时间:2026/4/18 7:52:25