网站首页  词典首页


请输入您要查询的字词:

 

字词 金融中介论
类别 中英文字词句释义及详细解析
释义 金融中介论

关于金融与经济发展的相互关系的一种理论。该理论因强调金融在经济发展中的中介作用而得名。1973年,R.I·麦金农和E.S·肖提出了著名的金融压制论和金融深化论,合称为“金融中介论”。他们系统研究了经济发展与金融发展的辩证关系,充分调强了金融在经济发展中的中介作用,从而共同奠定了金融中介论的理论基础。自从两位经济学家提出了金融中介理论观点以后,许多学者对此进行了不断完善,使之更具体化、数量化和动态化,并逐步成为完整的金融中介理论体系。其中较为著名的有新加坡国民大学经济学教授卡波、国际货币基金组织经济学家马依森和美国加州大学教授弗莱。

主要观点:

❶ 关于封闭型经济模型。一是,卡波的观点。卡波在1974年的《欠发达经济的货币增长模型》一文中,提出了劳动力过剩的发展中国家的总供给函数为:

Y=δk (1)

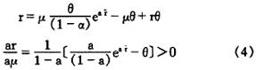
式中,y是实际GNP,k为已使用的固定资本和流动资产总量,δ为产量对资本的比率。假定一国闲置的固定资本和流动资产对产量有限制作用,所有流动资产的净增加额同已使用的流动资产的一固定部分θ需要由银行贷款来解决。如果已使用的固定资本占已使用的资本总量比率是α,那么,1-α便等于已使用的流动资产占已使用的资本总量的比率。卡波认为,银行贷款供应实际上由实际货币需求、货币扩张率、贷款对货币比率q所决定。设d-π为实际利率,r为实际经济增长率,μ为实际货币扩张率,则:

这说明,如果实际货币扩张率为正,即货币供给增加,实际经济增长率r就会达到最大值。他还认为,即使在稳定状况下货币也是非中性的。假定高能货币完全由银行控制,设L为名义贷款利率,则名义存贷款利率的关系是:

d=ql (3)

由于存在劳动力和固定资本闲置,则流动资产实际所得k。当时,贷款需求具有无限弹性。若q<1,则d-π会与通货膨胀率一起变化,即:。如果政府发行高能货币,则q可以假设为1,则(2)式可变为:

上式表明,实际经济增长率是货币扩张单调增函数,货币供应的增加可以提高经济增长,并使投资无限增长。

二是,马依森的观点。马依森接受卡波的生产函数和(1-a)的假定,却认为经济中不存在闲置固定资本,银行贷款解决所有投资的固定部分θ,实际贷款需求是:

L/p=θk (5)

他认为,企业通过储蓄而形成的资本积累率为实际资本固定收入r′和实际贷款利率1-π*所决定,即:

dk/dt=s(r′-1+π*)Y (6)

S表示储蓄函数,π*为预期通货膨胀率。银行贷款由存款需求和储蓄率所决定,现金来源是转移支付而不是贷款,设储蓄率为1-q,则:

式中,D是存款水平,存款需求为D/P=f(d-π*)y,经济增长函数为:

r=s(r′-1+π*)θ (8)

上式表明,实际投资效益越高,经济增长会越快。名义贷款利率越低,预期通货膨胀率越高,产量-资本比率越高,经济增长越快。当π*=π=μ-r和Y/k=θ时,yea(d-π*)=k·θ/q,两边取对数,则:

这表明,在π=π*时,d-π*并不随通货膨胀率一起变动,如果均衡存款利率越高,银行提供的投资比例会越大,储蓄率会越高,产量-资本比率会越低,但较高的存款利率会使贷款利率上升而降低经济增长率。马依森认为,在金融压制下,L与D被压制在低于市场竞争的均衡水平,q<1,货币是非中性的,如果L与D自由竞争达到均衡,则货币是中性的。对于金融压制,应提高实际存款利率,降低实际贷款利率,使其各自达到竞争均衡水平,这样会增加储蓄,增加投资,经济会得到增长。

❷ 关于开放型经济模型。一是,卡波的观点。卡波在1979年《欠发达经济的适宜金融和外汇自由化》一文中提出,当一国处于开放型经济发展阶段时,还必须考虑汇率浮动,把汇率政策视为政策工具,补充了流动资产Kw的生产函数

(10)

式中,kwd为国内流动资产投入,设kwf为进口的流动资产投入,设eN为名义汇率,eR为实际汇率,kw的价格为Pw,则:

(11)

假设存在合理预期:π*=π,,则经济增长模型为:

在他的模型中有三个目标变量:eR、W、π和三个政策工具:d、n、v。政府的目标是以贸易顺差来降低通货膨胀,提高经济增长。如果某国处于贸易逆差、通货膨胀、经济低增长,在过渡时期实际汇率应贬值。

二是,马依森的观点。马依森也发展了他的封闭型经济模型,他认为,政府可以控制货币增长率或名义汇率,但不能同时控制二者。二者应各自作为独立的政策工具来运用。他认为货币市场唯一的均衡机制是名义汇率的变化。名义汇率通过影响总需求再影响国内物价。他还认为经济的稳定需要货币和信贷市场均衡。如果经济处于通货膨胀、经济停滞、贸易逆差的状况。政府可以通过存贷款利率的逐步提高、名义汇率的极度贬值、货币增长率的下降来实现物价的稳定。然后再逐步降低存贷款利率和汇率,缓慢增加货币供给量,经济便可以达到稳定时期的水平。

❸ 弗莱的金融发展模型。与卡波和马依森提供的纯理论模型分析不同,弗莱的金融发展模型则是为了进行实证检验而设计的。主要从以下三个内容来展开分析。

第一,总储蓄函数。他把总的实际收入对总储蓄的影响称为增长率效应,意即当总的实际收入增长为正时,总储蓄也为正。增长率效应显然由总的实际收入的增长率(g)确定,但人口赡养率(DR)的提高会降低总储蓄函数中的增长率效应。国外储蓄(Sf)的流入也会使国内利率趋于降低,从而降低国民储蓄率。在总储蓄函数中,弗莱考虑了三个利率变量的影响。较高的实际利率(d-πe)不会提高真实的储蓄率,而是提供更大的资源流动性;当国际市场实际利率(rw)上升时,国民收入账户中的国民储蓄会下降,而真实的储蓄水平会上升;储蓄率还依赖于投资本身的预期实际收益率(re)。为了估价政府预算状况对国民储蓄的影响,他选择了给予政府部门的净国内信贷量对总的国内信贷量的比率DCGR。弗莱认为政府担保的高额外债会降低测度的国民储蓄,他把DT/Y定义为政府外债与政府担保的外债之和对GNP的比率。综合上面的分析,弗莱得出了用于经济计量分析的总储蓄函数式:

国外储蓄率可用经常项目的国际收支赤字除以GNP测得,由私人资本流入和官方发展援助stg/y组成。sfp/y不仅受与人均收入有关的因素的影响,而且还由国家风险费率ρ确定,ρ值由给指定国家的贷款利率减去国际市场利率rw而求得。国外储蓄还受高比率国际负债DT和高估的汇率ε的限制。因此,弗莱将国外储蓄函数定为:sf/y=f〔r,rw+ρ,y/n,(DT/y)t-1,ε〕,n为人口数量。

第二,投资函数。该函数首先建立在可变的加速数模型基础之上。加速数模型是:期望的资本存量k*为实际产出y的某个倍数:k*=dy。也可表示为:(I/y)*=dr,(I/y)*是期望投资率,r为产出增长率。弗莱认为,投资率应受私人部门的国内信贷量对GNP的比率DCp/y,或受私人部门国内信贷实际量的变化对延滞的实际GNP的比率△(DCp/P)Yt-1的影响。政府的外债加上政府担保的外债对GNP的比率DT/y,以及贸易条件引起的实际收入的变化率TTG是另外两个自变量。用公共的或政府的信贷对国内信贷总额的比率DCg/DC可以衡量财政状况。假定国际资本市场是完全竞争的,用国家风险费率调整后的国际实际利率rw+ρ对国内投资率也会产生影响。通过上述分析,弗莱得出了投资函数式:

I/y=f〔r,rt-1,TTGt+1,TTGt-1,DCp/y,△(DCp/p)yt-1,DT/y,DCg/DC,r+ρ,(I+y)t-1〕 (14)

第三,经济增长模型。经济增长率rn由投资率和投资效率决定。如果投资效率与产出/资本比率单调相关,不存在规模收益,且有剩余劳动,那么产出/资本比率便由实际存款利率决定:θ=f(d-πe)。影响经济增长率的第一个自变量是投资率,用它代表资本存量的增长率;第二个自变量是劳动力增长率Ig,出口变化率Xg也影响经济增长,货币供给量波动的方差(VM)对经济增长率会产生负影响。因此,弗莱得出了正常或非周期性的增长函数是:

rn=f(I/y,Ig,Xg,VM)θ (15)

随便看

 

离鸟网收录3541549条中英文词条,其功能与新华字典、现代汉语词典、牛津高阶英汉词典等各类中英文词典类似,基本涵盖了全部常用中英文字词句的读音、释义及用法,是语言学习和写作的有利工具。

 

Copyright © 2004-2024 vtrois.com All Rights Reserved
更新时间:2026/4/20 17:22:26