网站首页  词典首页


请输入您要查询的字词:

 

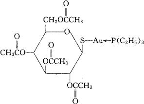
字词 金葡芬
类别 中英文字词句释义及详细解析
释义 金葡芬

C20H34AuO9PS=678.48

CAS-34031-32-8

(1-硫-β-D-吡喃葡糖基)三乙基膦化金2,3,4,6-四醋酸酯。

(1-Thio-β-D-glucopyranosato)(triethylphosphine)gold2,3,4,6-tetraacetate.

抗风湿药。

金诺芬。

Aurnanofin,Ridaura.

INN,BAN,USAN,MI.

随便看

 

离鸟网收录3541549条中英文词条,其功能与新华字典、现代汉语词典、牛津高阶英汉词典等各类中英文词典类似,基本涵盖了全部常用中英文字词句的读音、释义及用法,是语言学习和写作的有利工具。

 

Copyright © 2004-2024 vtrois.com All Rights Reserved
更新时间:2026/4/18 18:39:24