金刚帕仑
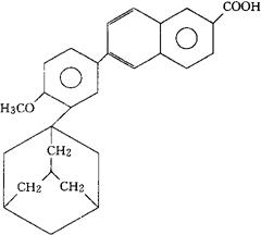
C28H28O3=412.91 CAS-106685-40-9 6-(4-甲氧基-3-三环[3.3.1.13,7]癸-1-基苯基)-2-萘羧酸。 6-(4-Methoxy-3-tricycolo[3.3.1.13,′]dec-1-ylphenyl)-2-naphthalenecarboxylic acid. 6-[3-(1-金刚烷基)-4-甲氧基苯基]-2-萘酸。 6-[3-(1-Adamantyl)-4-methoxyphenyl]-2-naphthoic acid. 抗痤疮(粉刺)药。 Adapalene,CD 271. INN,USAN.  |