金刚克新
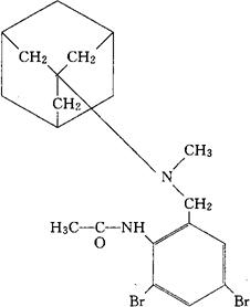
C20H26Br2N2O=470.25 CAS-54785-02-3 α-(1-金刚烷代甲氨基)-4′,6′-二溴-邻-N-乙酰甲苯胺。 α-(1-Adamantylmethylamino)-4′,6′-dibromo-oacetotoluidide. N-[2,4-二溴-邻-[(甲基三环[3.3.1.11,7]癸-1-基氨基)甲基]苯基]乙酰胺。 N-[2,4-Dibromo-o-[(methyl tricyclo[3.3.113,7]dec-1-xylamino)methyl]phenyl]acetamide. 祛痰药,粘液溶解药,解痉药。 阿达美星。 Adamexine. INN,USAN.  |