野扇花果
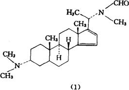
【概况】: 异名 叶上花、清香桂、万年青(《云南中草药》),野樱桃(《昆明民间常用草药》)。 基源 为黄杨科野扇花属野扇花的果。野扇花属约16~20种,主产于亚洲南部,中国有5种,产西南部至台湾。 原植物 野扇花Sarcococca ruscifolia Stapf 形态 常绿灌木,高0.5~2m。 根粗壮,表面浅棕色。 分枝多,小枝有棱纹,绿色,幼时有短柔毛。叶互生,革质,卵形或卵状椭圆形、椭圆状披针形,长3~6cm,宽1~2.5cm,先端长渐尖,基部楔形至圆形,全缘,上面深绿色,具光泽,下面绿白色,羽状脉不明显;叶柄长3~6cm。花单性同株,腋生,常成短而密的总状花序,雌花生于基部;花小,白色,芳香,无花瓣;萼片4~6,有绿毛;雄花的雄蕊4~6;雌花的子房2~3室,花柱短。核果近球形,肉质,暗红色,直径约5mm。 种子1~2粒。花期春季。(图见《中国高等植物图鉴》.第2册.631页.图2991) 生境与分布 生山坡疏林中、沟边或栽培。分布于四川、湖北、云南、贵州、江西等地。 。【生药】: 采集 秋、冬季采收,也有在春季采收。 【化学】: 含生物碱。有清香桂碱A(Sarcorucinine A)(1)[1]和清香桂碱D(Sarcorucinine D)[2]。  参考文献 [1] 云南植物研究 1990;12(1)∶111 [2] 植物学报 1989;31(7)∶535 【药性】: 性味 ❶ 《云南中草药》:“辛、苦,平。” ❷ 江西《草药手册》:“辛,温。” 功效 祛风通络,活血,止痛。 养肝安神。 主治 ❶ 江西《草药手册》:“活血舒筋,祛风消肿。” ❷ 《云南中草药》:“胃痛,跌打损伤。” 用法用量 内服:煎汤,9~15g;或研末0.9~1.5g。 。【临床应用】: 单方应用 《云南中草药》:“治头晕,心悸,视力减退:野扇花果9~15g,水煎服。” |