网站首页  词典首页


请输入您要查询的字词:

 

字词 重置成本法
类别 中英文字词句释义及详细解析
释义 重置成本法

重置成本法,就是在现实条件下重新购置或建造一个全新状态的被估资产,所需的全部成本减去被估资产的实体性陈旧贬值、功能性陈旧贬值和经济性陈旧贬值后的差额,即为被估资产现实价值的一种方法。重置成本的基本公式为:

评估价值=重置成本-实体性贬值-功能性贬值

1.重置成本法中各因素的说明

(1)重置成本

由于在现实条件下重新购置或建造一个全新状态的被估资产,可以采用更新换代的新型材料、技术等重新购建,也可以采用按被估资产原有材料、技术、规模等重新购建,因此,重置成本分为复原重置成本和更新重置成本。

A.复原重置成本。也叫复制品成本,是指按照现行市场价格,使用与评估对象相同的材料、设计标准、建造工艺、达到原有功能及技术性指标要求,重置一个全新状态的评估对象所需的全部成本。

B.更新重置成本。是指按照现实市价,使用现代的材料、设计、建造工艺等购建一个与评估对象具有相同用途的全新资产所需支付的全部成本。

科学技术的发展,必然导致制造工艺不断进步,新兴材料不断涌现,有些很可能已无法再按被估对象原样进行重置,而出现局部或整体的更新。这样,评估对象与全新的重置资产相比,就会存在功能性差异,造成被估资产的贬值。此时,则要在重置成本法的基本公式中,扣除评估对象与全部资产之间实际存在的功能性贬值。

(2)实体性贬值

实体性贬值,即有形损耗贬值,是由于生产运营中的磨损和自然力的侵蚀而引起资产价值的损失。评估对象一般都不是全新的,都存在著不同程度的实体性贬值,因此,通过实地勘察、检测,确定评估对象的新旧程度,是确定实体性贬值的基本方法。实体性贬值与会计上的折旧不能完全等同。因为折旧是按同类资产的统一标准计算的,而同类资产的实际新旧程度,会因为环境影响、使用强度、维护保养、运行时间、负荷大小等因素的不同,而显示出较大的差异,所以,实体性贬值不能照搬会计上的累计折旧,而应通过实际技术检测,加以测定。

(3)功能性贬值

功能性贬值是由于科学技术不断发展,导致资产价值的贬值。科学技术发展越快,被估资产年代越久,其贬值数额一般就越大,当然古玩、名人字画等珍藏除外。功能性贬值就其产生原因又可分为技术性陈旧贬值和营运性陈旧贬值。

技术性陈旧贬值,也称一次性投资功能陈旧贬值,是指被估资产与同样功能的更新资产相比,因设计、结构、用料等技术过时而引起的自身贬值。它是发生在资产本身上的无形损耗,这部分价值得不到社会的承认,但包含在复原重置成本之中,故而应从复原重置成本中扣除。例如,电子技术的飞速发展,使电子产品从晶体管发展到电子管、集成块、再发展到集成电路,这期间技术性贬值是显而易见的。如果采用复原重置成本评估一台电子管的黑白电视机,就必须把这种技术性陈旧贬值扣除;但是,如果采用更新重置成本评估一台同样功能的黑白电视机,就不需再扣除技术性陈旧贬值,因为更新重置成本是在现行技术条件的基础上估算的,已经暗含地扣除了这部分贬值。

营运性功能陈旧贬值是因为被估资产与更新资产在生产率和其他功能指标上的差异而引起的贬值。由于生产效率高的同样功能的资产广泛使用,使得被估资产显得投入大、能耗高、产品成本高、产品价格不高等缺点,这样被估资产与更新替代的资产相比,就形成了超额运营成本。这种超额运营成本只在资产尚可使用年限内发生,因此,营运性功能陈旧贬值仅为资产尚可使用年限内因功能落后所减少的收入或增加的支出。

在实体性贬值和功能性贬值之外,还存在著一种贬值,即经济性贬值。经济性贬值是指由于外界因素,而不是资产本身或内部因素所引起的达不到原有设计获利能力而造成的贬值。外界因素包含的内容很多,如市场竞争导致对产品需求减少;通货膨胀;政府法律影响;税率提高;环境保护等等。试曾想,谁愿意花钱或花很多钱去买一台其产品滞销的生产设备呢?尽管设备本身还很新。经济性贬值虽然较难预测,却不能否认它的存在。但是,这种贬值与被估资产的重置成本无直接联系,影响的只是它的获利能力。因此,以重置成本为估价标准时,可不考虑这种贬值,经济性贬值一般只作为用成本法计算资产本金化的调整项目。

2.重置成本法中各因素的估算

(1)重置成本(也称重置成本全价)的估算

方法一:重置核算法(直接法)

这种方法是按资产成本构成,以现行市价为标准,计算被估资产重置成本全价的一种方法。

重置成本分为直接成本和间接成本。

直接成本,指购建全新资产支出中,可以直接计入资产购建成本的那部分支出。如机器设备的买价,安装、调试所需的材料、人工成本等。

间接成本,指购建全新资产全部支出中,不能直接计入成本,需用相应的标准、方法进行分配计入购建成本的那部分支出。如管理费、总体设计费等。计算公式如下:

间接成本=直接成本×间接成本占直接成本百分比

=或实际耗用工时(日)×耗工单价

=或人工成本额×分配率

例:重置机器设备一台,设备售价50,000元,运杂费1,000元,安装材料费500元,耗用100个工时,人工费1,000元。按规定,该类设备的间接费提取标准为直接费的10%,公司一年的管理费、设计制图费为1,000,000元,各工程工耗总量为100,000个工时,则该机器设备的重置成本为:

直接成本 52,500

其中:买价 50,000

运杂费 1,000

安装材料费 500

安装人工费 1,000

间接成本 6,250

其中:安装提取费 5,250(52,500×10%)

管理费、设计制图费 1,000

重置成本合计 58,750(元)

方法二:物价指数法(趋势法)

物价指数法是指应用资产价格变动指数估算其重置成本全价的一种方法。计算公式如下:

例:某被估资产为1979年购建,帐面原值为30万元,1993年7月31日评估时,该类资产的物价变动指数为250%,推测的1979年物价变动指数为120%。则被估资产重置成本为:

方法三:功能价值法

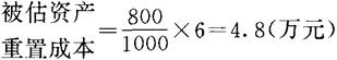
这种方法是以生产相同产品的同类或相似的全新资产价值为标准,计算其每一单位生产能力资产价值(或参照物)与评估对象生产能力比例,以估算评估对象重置成本的一种方法。计算公式如下:

例:某被估资产年生产能力为800件,同类全新资产年生产能力为1000件,价值6万元。则:

方法四:经济规模效益指数法

这种方法是应用规模经济效益指数,估算被评估资产重置成本的一种方法。由于一项资产生产能力的大小,虽然与其制造成本呈正向关系,但不是等比例的增减,而是按指数关系变化。计算公式如下:

式中:甲为被估资产;乙为参照物资产或为已定型生产并大量投入使用的技术先进资产;n为规模经济效益指数,是一个经验值,在不同行业,其取值范围不同。在美国,n的取值范围在0.4~1之间,加工业取值0.6~0.7,房地产业一般为0.9。

例:参照物资产乙的年生产能力为5万件,重置成本为8万元,被估资产甲的年生产能力为3万件,n值取0.7。则:

=5.592(万元)

=5.6(万元)

方法五:点面推算法

点面推算法是按统计规律,选择部分有代表性的资产,较精确地评估出它们的重置成本,然后再根据点面关系,推算出全部资产的重置成本。计算公式如下:

这种方法有一定的误差,原因有二,其一是受精测点数目影响,选点较多,代表性较好,反之,代表性较差;其二是受精测点结构的影响,精测点结构与被估资产结构相近,误差就小,反之,则大。但是,点面推算法只要运用得体,是评估分类资产价值的简易方法。

(2)实体性贬值的估算方法

实体性贬值,也称有形损耗引起的贬值,其贬值程度,最终是取决于评估对象的实体状况条件同相同全新资产状态条件之间的差别。实体性贬值的估算方法主要有二。

方法一:观察法

这种方法是在观察评估对象各结构、磨损情况的基础上,将其与全新资产进行比较,然后把损耗程度用一个百分比表达出来,通常称为有形损耗率。则实体性贬值可用下列公式表示:

实体性贬值=重置成本×有形损耗率

有形损耗率=1-成新率

有形损耗率的确定方法有两种,一种是对资产进行总体观察,确定其总体的有形损耗率;另一种是确定资产加权平均有形损耗率,即将资产总体分解为若干部分,分别对各组成部分进行分析,确定出各组成部分的有形损耗率,再以各组成部分的成本占总成本的比重为权数,计算出加权平均有形损耗率。

方法二:使用量比率法

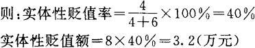
这种方法是根据资产的已使用量与总使用量的比率作为实体贬值率,计算公式为:

资产的使用量可用使用年限、工作小时、行驶里程等指标表示。当使用量用使用年限表示时,表示公式为:

例:某被估机器已使用4年,根据技术检测还可继续使用6年,该机器重置成本为8万元,计算被估机器的实体性贬值额。

(3)功能性贬值的估算

如前所述,功能性贬值按其产生原因,分为技术性陈旧贬值和营运性功能陈旧贬值两种,它们的估算方法各不相同。

第一:技术性陈旧贬值的估算

技术性陈旧贬值从数量上看,应表现为复原重置成本与更新重置成本之间的差额。因为复原重置成本中包含了这部分贬值,而更新重置成本中却暗含地扣除了这部分贬值,可见,复原重置成本一般都高于更新重置成本。技术性陈旧贬值的计算公式如下:

技术性陈旧贬值=复原重置成本-更新重置成本

例:有一台全新计算机,可以继续使用,但该机型号太老,又没厂家生产了,如果按复原重置成本估算,该机价值14万元,如果按更新重置成本估算,该机价值5万元。则该计算机的技术性陈旧贬值为9万元(14万元-5万元)。

第二:营运性功能陈旧贬值的估算

由于营运费用是连续性支出的,而且在资产尚可使用年限内不可避免,所以,这营运性功能陈旧贬值应该是尚可使用年限内,每年的超额营运成本扣除所得税后的现值之和。计算公式如下:

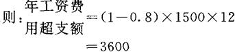
营运性功能陈旧贬值=被估资产年超额营运成本×(1-所得税税率)×年金折现系数

例:某被估设备与技术先进设备比较,劳动生产率低,工资费用相对提高,有关资料如下:

3.用重置成本法评估资产净价的方法

资产评估净价即资产评估价值,是被估资产重置成本(重置全价)扣除各种损耗后的差额。在采用复原重置成本和更新重置成本评估时,计算公式略有不同。

(1)采用复原重置成本

在采用复原重置成本估算被估资产净价时计算公式为:

当营运性功能陈旧贬值无法确定时,常常该扣除项目就被略去。

(2)用更新重置成本

在采用更新重置成本估算被估资产净价时,计算公式为:

随便看

 

离鸟网收录3541549条中英文词条,其功能与新华字典、现代汉语词典、牛津高阶英汉词典等各类中英文词典类似,基本涵盖了全部常用中英文字词句的读音、释义及用法,是语言学习和写作的有利工具。

 

Copyright © 2004-2024 vtrois.com All Rights Reserved
更新时间:2026/4/18 0:10:42