网站首页  词典首页


请输入您要查询的字词:

 

字词 重积分
类别 中英文字词句释义及详细解析
释义 重积分

8.4.1 二重积分

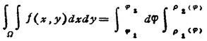
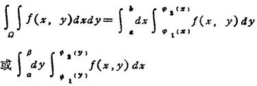
二重积分(x,y)dxdy的计算公式(积分限应从小到大):

直角坐标系下

极坐标系下,设x=ρcosφ,y=Psinφ,则

f(ρcos中,ρsinφ)PdP

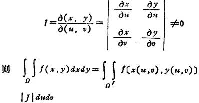
二重积分的变量替换(雅可比式):{x=x(“,v)

设连续可微函数,把平面Oxy上y=y(u,v)的有界闭区域Ω单值映射到平面O′uv的闭区域Ω′,其雅可比式为

8.4.2 三重积分

三重积分f(x,y,z)dxdydz的计算式:

设有界闭区域V由下列不等式确定:

α≤x≤b,y1(x)≤y≤y2(x),z1(x,y)≤z≤z2(x,y)

❶  直角坐标系

式中 Sx是用平行于Oyz的平面截V所得截面。

❷ 圆柱坐标系

式中 V′是区域V在圆柱坐标系中的表达式。一般地,0≤φ≤2π。

❸  球面坐标系

式中 V′是区域V在球面坐标系中的表达式;θ为r与z轴的夹角。一般地,0≤φ≤2π,0≤θ≤π。

三重积分的变量替换(雅可比式):

把Oxyz空间的有界闭域V双方单值映射到O′uvω空间的闭域V′,且当(u,v,ω)∈V′时,其雅可比式

随便看

 

离鸟网收录3541549条中英文词条,其功能与新华字典、现代汉语词典、牛津高阶英汉词典等各类中英文词典类似,基本涵盖了全部常用中英文字词句的读音、释义及用法,是语言学习和写作的有利工具。

 

Copyright © 2004-2024 vtrois.com All Rights Reserved
更新时间:2026/4/18 18:16:27