重硫酸奎宁[典]
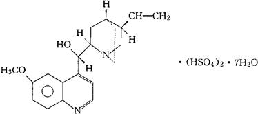
C20H24N2O2·H2SO4·7H2O=548.60 CAS-549-56-4 (8α,9R)-6′-甲氯脱氧辛可宁-9-醇硫酸盐[1∶1]七水化合物。 (8α,9R)-6′-Methoxy-cinchonan-9-ol-sulfate[1∶1](salt)heptahydrate. 抗疟药。用于控制疟疾的症状。 重硫酸规宁,二硫酸奎宁,重硫酸鸡纳碱。 Quinine Bisulfate,Quinine Acid Sulfate,Acid Quinine Sulfate. 重硫酸奎宁片。 BP,NF,USAN,MI. 
|