网站首页  词典首页


请输入您要查询的字词:

 

字词 重油的贮藏与输送
类别 中英文字词句释义及详细解析
释义 重油的贮藏与输送

1.重油贮油罐与运行油罐

根据重油含渣带水、而输油及燃烧中又需要脱水除渣,以达安全和稳定燃烧的特点,故其设计与运行都应与其他油罐有所区别。贮油罐是供卸油及贮油用的、内设加热器、其运行温度一般为室外温度、抽油时加热到50~60℃(根据重油标号不同而稍有变化),先排水后抽油。运行油罐一般是供锅炉日常用油,其容量多在8~24h的用油量。设置2~3个,以供轮流使用,这样有利于加热、静置、排水、抽油等操作的进行;运行油罐的运行温度为80~90℃,不许超过95℃。图14—2—24示出某造纸厂3000m3地下贮油罐的结构,12年多的运行情况证明,这种具有锥底结构的贮油罐、有利于排水、排渣及抽油工作。

2.重油输送管线

重油输送管线总是油汽伴随敷设、施行伴热保温、以克服其粘度大、凝固点高在输送中产生的困难,伴热保温有三种形式:油管中安一小管通汽;油管外部套汽管;油、汽管平行伴随。一般后两种形式较普遍,但必须将其焊缝裸露出来,以利于检查、修理、管线应全部保温。

图14—2—25为油管外套蒸汽管安装示意图。

1—重油管道 2—蒸汽套管 3—管道焊缝 4—蒸汽连通管

图14—2—26为油、汽管平行伴随安装示意图。

1—重油管 2—蒸汽伴随管 3—保温层 4—管道支架

伴随管的根数和直径选用见表14—2—66。

表14-2—66

(2)离心泵:当输送油品粘度在3°E以下时选用离心泵是较经济的,大于1~3°E时,泵的效率开始下降;大于1.4~6°E时,扬程开始下降,粘度大于2~10°E时,流量开始下降。

(3)往复泵:适合于输送粘性液体,其流量与产生的压头无关,吸入能力高。但其外形尺寸和重量大,流量不均匀,压力呈脉动状态,若油有固体颗粒,会使油缸受到划伤磨损。

(4)齿轮泵和螺杆泵:适用于输送流量小,压力高的重油系统,当工作面有液膜存在时,具有自吸能力,油压稳定,体积小等优点,但因对油中固体颗粒很敏感,转子容易受磨损,致使压力与流量降低、故必须严格过滤。

螺杆泵输送重油的粘度范围应在1.5~80°E。

齿轮泵输送重油的粘度范围应在200°E以下。

4.重油的加热

(1)重油加热所需的热量:

Q=4186ryV〔Cy(t2-t1)+aB〕/J(kJ/h)

式中:ry——油品在平均温度时的重度,t/m3

V——容器内最大装油容积:m3

Cy——油品在平均温度时的比热容,kcal/(kg·℃);

t2——油品加热终温,℃;

t1——油品加热初温,℃;

a——重油中石蜡含量,%;当不能取得石蜡含量原始资料时,可取a=5%,进行粗略计算;

B——石蜡的熔解潜热,kcal/kg。当加热铁路油罐车中的重油时,根据重油凝固点,按表14—2—70选取,当加热油罐中的重油时,取B=0;

t——加热升温时间,h。

表14-2—70

加热时由于散热损失的热量:

Q2=qD+qB+KDi(kJ/h) (1)

式中:qD——经罐顶散失的热量,kJ/h;

qD=KDFD(ty-to) (2)

KDi——油品经罐顶向空气的传热系数,kJ/(m2·h·℃)

按表14-2-71采取;

表14-2-71

注:1kcal=4.1868kJ

FD——罐顶的表面积,m2,对于铁路油罐车和卧式油罐车、取FD=0;

ty——油品的平均温度、℃;

to——周围介质的温度、℃。

qB——经罐壁散失的热量:

qB=KBFB(ty-to)(kJ/h) (3)

kB——油品经罐壁向空气的传热系数,kJ/(m2·h·℃),按表14—2-71选取;

FB——罐壁的表面积,m2、对于铁路油罐车和卧式油罐,按罐体的全部表面积计算。

qDi——经罐底散失的热量:

qDi=KDiFDi(ty-to)(kJ/h) (4)

KDi——油品经罐底向土壤的传热系数,kJ/(m2·h·℃),按表14—2—71选取。

FDi——罐底的面积、m2,对于铁路油罐车和卧式油罐,取Fyi=0

将公式(2)、(3)、(4)代入(1)得立式油罐散热损失的热量计算公式:

Q2=(KDFD+KBFB+KDiFDi)(ty-to)(kJ/h)(5)

将公式(2)、(3)及(4)整理后得铁路油罐车和卧式油罐散热损失的热量计算公式:

Q2=KBFB(ty-t0)(kJ/h)

上述公式中周围介质温度取最冷月份平均气温,对于地下或半地下式油罐取埋入地区土壤的平均温度。

油品的平均温度to,在贮油罐中加热时取

在铁路油罐车中加热重油时取

(2)油罐内的重油加热器计算:当加热重油所需的热量Q为已知时,其加热面积可按下式计算:

F=1.25QΦ/KQ(tb-ty)(m2) (8)

式中:F——加热器面积,m2

Q——加热重油所需总热量,kcal/h;

Φ——蒸汽凝结水的过冷却系数,取决于重油的加热终温t2,由表14-2-72查得;

表14-2-72 蒸汽冷凝水的过冷系数Φ值

注:1kgf/cm2=0.980665×104Pa

tb——蒸汽饱和温度,℃;

ty——油品的平均温度,℃,按公式(6)计算:

KQ——加热器内蒸汽向油品的总传热系数,kcal/(m2·h·℃),按下式计算;

R——影响传热效果的补充热阻m2·h·℃/kcal,可由表14-2-73选取,一般取R=0.002;

表14-2-73

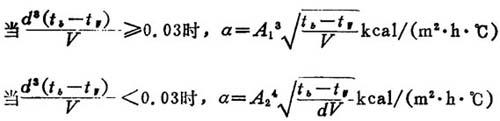
α——从加热器外壁到油品的放热系数kcal/(m2·h·℃)。按下式计算:

式中:tb——蒸汽饱和温度,℃;

ty——油品平均温度、℃,按公式(6)计算;

d——加热器管子的外径、m;

V——油品平均温度和蒸汽温度的算术平均温度时,油品的运动粘度,St;

A1,A2——系数。可从表14-2-74查得。

表14-2-74

注:本表根据A1=36-23Y20及A2=24.5-15Y20计算所得。

为了简化计算,总传热系数也可取经验数值KQ=50~70kcal/(m2·h·℃)。

(3)蒸汽消耗量计算

式中:G——蒸汽消耗量,kg/h;

Q——加热重油时所需总热量,kJ/h;

随便看

 

离鸟网收录3541549条中英文词条,其功能与新华字典、现代汉语词典、牛津高阶英汉词典等各类中英文词典类似,基本涵盖了全部常用中英文字词句的读音、释义及用法,是语言学习和写作的有利工具。

 

Copyright © 2004-2024 vtrois.com All Rights Reserved
更新时间:2026/4/20 18:42:22