网站首页  词典首页


请输入您要查询的字词:

 

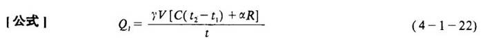
字词 重油加热所需的热量计算
类别 中英文字词句释义及详细解析
释义 重油加热所需的热量计算

式中 Q1——所需热量(kJ/h)

γ——油品在平均温度()时的密度(kg/m3)

V——容器内最大装油容积(m3)

t2——油品加热终温(℃)

t1——油品加热初温(℃)

C——油品在平均温度()时的比热容[kJ/(kg·℃)]

a——重油中石蜡含量(%),当不能取得其原始数据时,可取a=5%

R——石蜡的溶解潜热(kJ/kg),当加热铁路油罐车中的重油时取R=0;根据重油凝固点,按表4-1-3选取

t——加热升温时间(h)

表4-1-3 石蜡的溶解潜热

随便看

 

离鸟网收录3541549条中英文词条,其功能与新华字典、现代汉语词典、牛津高阶英汉词典等各类中英文词典类似,基本涵盖了全部常用中英文字词句的读音、释义及用法,是语言学习和写作的有利工具。

 

Copyright © 2004-2024 vtrois.com All Rights Reserved
更新时间:2026/4/20 8:53:41