重力加速度(自由落体加速度)g
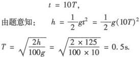
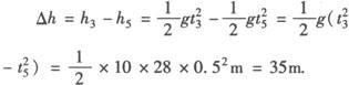
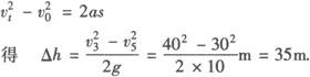
在同一地点,一切物体的重力加速度都相同,大小为g,方向总是竖直向下.它的大小随著地点的不同而不同,在地球表面上从赤道到两极,随纬度的增大而增大;在地球表面上方越高处的重力加速度越小.在一般计算中g=9.8m/s2. 例 一矿井深为125m,在井口每隔一定时间自由下落一个小球,当第11个小球刚从井口开始下落时,第1个小球恰好到达井底,则相邻小球开始下落的时间间隔为多少?这时第3个小球和第5个小球相距多远?(g=10m/s2) 分析 设相邻小球下落的时间间隔为T,则第1个小球从井口落至井底的时间为  为了计算此时第3个小球和第5个小球的间距,可以有不同的方法,例如: 解法1 由第3个小球下落时间t3=8T、第5个小球下落时间t5=6T,根据自由落体运动公式直接得间距  解法2 由第3个小球和第5个小球的下落时间t3=8T、t5=6T,得此时两球的瞬时速度分别为 v3=gt3=10×8×0.5m/s=40m/s, v5=gt5=10×6×0.5m/s=30m/s. 根据匀加速直线运动公式  |