网站首页  词典首页


请输入您要查询的字词:

 

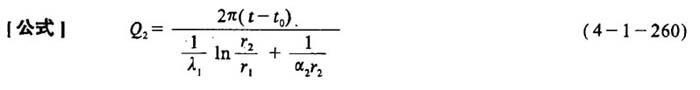
字词 采用岩棉保温后热损失计算
类别 中英文字词句释义及详细解析
释义 采用岩棉保温后热损失计算

式中 Q2——热损失[kJ/(m·h)]

λ1——岩棉导热系数[kJ/(m·h·℃)]

λ1=0.1465+0.0006698tr (4-1-261)

tr——保温层平均温度(℃)

t——蒸汽温度(℃)

t1——保温层外表温度(℃)

t2——岩棉管外径(m)

其它同上式

随便看

 

离鸟网收录3541549条中英文词条,其功能与新华字典、现代汉语词典、牛津高阶英汉词典等各类中英文词典类似,基本涵盖了全部常用中英文字词句的读音、释义及用法,是语言学习和写作的有利工具。

 

Copyright © 2004-2024 vtrois.com All Rights Reserved
更新时间:2026/4/18 12:15:06