网站首页  词典首页


请输入您要查询的字词:

 

字词 采样系统的稳定性
类别 中英文字词句释义及详细解析
释义 采样系统的稳定性

(1)系统稳定的必要充分条件

由于s平面虚轴在z平面的映象为单位圆,s平面左半部映射到z平面的单位圆内部,s平面右半部在z平面的映象为单位圆外部,如图5.7-10(a)、(b)所示。因此,对于采样控制系统,其稳定的必要充分条件是系统脉冲传递函数的极点应全部位于z平面的单位圆内。z平面上单位圆周为稳定域的边界,如系统有极点在z平面的单位圆外或单位圆上,则系统不稳定。

(2)稳定性的代数判据

若采样系统的特征方程为

anzn+an1z”-1+…+a1z+a0=0(5.7-20)

为判别其根是否在单位圆内,须取如下的所谓双线性变换,即令

[解]系统连续部分的开环传递函数为

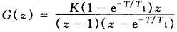
查表5.7-1可得系统开环脉冲传递函数为

式中 T——采样周期;

T1——图5.7-11所示系统连续部分惯性环节的时间常数。

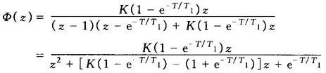
查表5.7-3第一栏,令H(s)=1,得闭环系统脉冲传递函数为

其特征方程为

将上式进行z-w变换并整理后得

由劳斯判据可知,对于二阶系统,只要特征方程的各项系数均大于零,系统就是稳定的。由于(1-e-T/T1)>0,所以为使系统稳定,必须满足

[2(1+e-T/T1)-K(1-e-T/T1)]>0

解上述不等式,并考虑K>0,得该系统稳定时K的变化范围为

对上例的分析可有如下结论:对没有采样器的二阶连续系统,只要K大于零,系统总是稳定的,但当系统增加采样器变成采样系统后,开环增益被限制在式(5.7-22)要求的范围之内系统才稳定。一般说来,引入采样器会降低系统的稳定性,且采样周期越大,系统稳定性越差。不过,实践证明,对于带有很大时间延迟(大滞后)对象的系统则例外。

随便看

 

离鸟网收录3541549条中英文词条,其功能与新华字典、现代汉语词典、牛津高阶英汉词典等各类中英文词典类似,基本涵盖了全部常用中英文字词句的读音、释义及用法,是语言学习和写作的有利工具。

 

Copyright © 2004-2024 vtrois.com All Rights Reserved
更新时间:2026/4/18 4:31:08