网站首页  词典首页


请输入您要查询的字词:

 

字词 醚化荚豆胶
类别 中英文字词句释义及详细解析
释义 醚化荚豆胶

用荚豆类植物种子胶醚化而成。

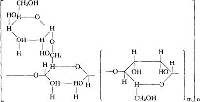
其基本组成为甘露醣、半露醣等多醣高聚物。其大致的分子结构:

这种糊料成糊率高,膨润性大,能用温水或冷水调制,对酸碱有一定适应性。制成印花色浆渗透性好,印制均匀,线条清晰,得色艳丽,较易洗涤,是有前途的丝绸印花糊料。

随便看

 

离鸟网收录3541549条中英文词条,其功能与新华字典、现代汉语词典、牛津高阶英汉词典等各类中英文词典类似,基本涵盖了全部常用中英文字词句的读音、释义及用法,是语言学习和写作的有利工具。

 

Copyright © 2004-2024 vtrois.com All Rights Reserved
更新时间:2026/4/18 5:42:41