网站首页  词典首页


请输入您要查询的字词:

 

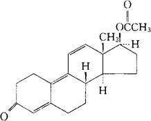
字词 醋酸群勃龙
类别 中英文字词句释义及详细解析
释义 醋酸群勃龙

C20H24O3=312.41

CAS-10161-34-9

CAS-10161-33-8(trenbolone)

17-(乙酰氧)-,(17β)-雌甾-4,9,11-三烯-3-酮。

Estra-4,9,11-trien-3-one,17-(acetyloxy)-,(17β)-.

17β-羟雌甾-4,9,11-三烯-3-酮醋酸酯。

17β-Hydroxyestra-4,9,11-trien-3-one,acetate.

雄激素,同化激素类药。

Trenbolone Acetate,RU-1697,Finaplix,Finaject.

INN & BAN(Trenbolone),USAN.

随便看

 

离鸟网收录3541549条中英文词条,其功能与新华字典、现代汉语词典、牛津高阶英汉词典等各类中英文词典类似,基本涵盖了全部常用中英文字词句的读音、释义及用法,是语言学习和写作的有利工具。

 

Copyright © 2004-2024 vtrois.com All Rights Reserved
更新时间:2026/4/18 6:16:22