网站首页  词典首页


请输入您要查询的字词:

 

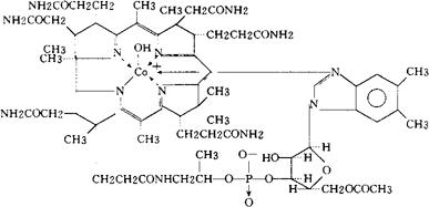
字词 醋酸羟钴胺
类别 中英文字词句释义及详细解析
释义 醋酸羟钴胺

C64H91CoN13O16P=1376.44

CAS-13422-51-0(hydroxocobalamin)

钴啉醇酰胺乙酸磷酸盐3′-酯与5,6-二甲基-1-α-D呋喃核糖基苯并咪唑内的盐。

Cobinamide acetate phosphate 3′-ester with 5,6-dimethyl-1-α-D-ribofuranosylbenzimidazole inner salt.

抗贫血药。

Hydroxocobalamin Acetate,Acetatocobalamin,Idoxo B,Novidroxin.

JAN,MI.

随便看

 

离鸟网收录3541549条中英文词条,其功能与新华字典、现代汉语词典、牛津高阶英汉词典等各类中英文词典类似,基本涵盖了全部常用中英文字词句的读音、释义及用法,是语言学习和写作的有利工具。

 

Copyright © 2004-2024 vtrois.com All Rights Reserved
更新时间:2026/4/18 4:41:48