网站首页  词典首页


请输入您要查询的字词:

 

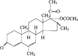
字词 醋酸美仑孕酮
类别 中英文字词句释义及详细解析
释义 醋酸美仑孕酮

C25H32O4=396.53

CAS-2919-66-6

CAS-5633-18-1(melengestro1)

17-(乙酰氧)-6-甲基-16-亚甲基-孕甾-4,6-二烯-3,20-二酮。

17-(Acetyloxy)-6-methyl-16-methylene-pregna-4,6-diene-3,20-dione,

17-羟-6-甲基-16-亚甲基孕甾-4,6-二烯-3,20-二酮醋酸盐。

17-Hydroxy-6-methyl-16-methyleneprenga-4,6-diene3,2O-dione acetate.

孕激素类药,抗肿瘤药。

美仑孕酮醋酸盐。

Melengestrol Acetate,BDH 1921,MJ 5373,NSC70968,U 21240.

INN,BAN(Melengestrol),USAN.

随便看

 

离鸟网收录3541549条中英文词条,其功能与新华字典、现代汉语词典、牛津高阶英汉词典等各类中英文词典类似,基本涵盖了全部常用中英文字词句的读音、释义及用法,是语言学习和写作的有利工具。

 

Copyright © 2004-2024 vtrois.com All Rights Reserved
更新时间:2026/4/18 9:18:18