网站首页  词典首页


请输入您要查询的字词:

 

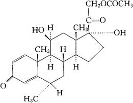
字词 醋酸甲泼尼龙
类别 中英文字词句释义及详细解析
释义 醋酸甲泼尼龙

C24H32O6=416.51

CAS-53-36-1

(6α,11β)-21-(乙酰氧)-11,17-二羟-6-甲基-孕甾-1,-4-二烯-3,20-二酮。

(6α,11β)-21-(Acetyloxy)-11,17-dihydroxy-6-methyl-pregna-1,4-diene-3,20-dione.

11β,17,21-三羟-6α-甲基孕甾-1,4-二烯-3,20-二酮21-醋酸酯。

11β,17,21-Trihydroxy-6α-methylpregna-1,4-diene3,20-dione 21-acetate.

肾上腺皮质激素类药。

Methylprednisolone Acetate,Depomedrate,Depomedr0l.

USAN,USP.

随便看

 

离鸟网收录3541549条中英文词条,其功能与新华字典、现代汉语词典、牛津高阶英汉词典等各类中英文词典类似,基本涵盖了全部常用中英文字词句的读音、释义及用法,是语言学习和写作的有利工具。

 

Copyright © 2004-2024 vtrois.com All Rights Reserved
更新时间:2026/4/18 7:05:00