网站首页  词典首页


请输入您要查询的字词:

 

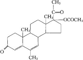
字词 醋酸甲地孕酮[典]
类别 中英文字词句释义及详细解析
释义 醋酸甲地孕酮[典]

C24H32O4=384.51

CAS-595-33-5

17α-羟-6-甲基孕甾-4,6-二烯-3,20-二酮醋酸酯。

17α-Hydroxy-6-methylpregan-4,6-diene-3,20-dioneacetate.

孕激素类药。用于月经不调、子宫功能性出血、子宫内膜异位症等。

醋酸去氧甲孕酮。

Megestrol Acetate,Niagestin,Megestat,Megace,Ovaban,BOH1298,SC 10363,NSC-71423.

甲地孕酮片,甲地孕酮膜(妇宁膜)。

INN & BAN(Megestro1)NFN,USAN,USP,MI.

随便看

 

离鸟网收录3541549条中英文词条,其功能与新华字典、现代汉语词典、牛津高阶英汉词典等各类中英文词典类似,基本涵盖了全部常用中英文字词句的读音、释义及用法,是语言学习和写作的有利工具。

 

Copyright © 2004-2024 vtrois.com All Rights Reserved
更新时间:2026/4/18 10:52:10