网站首页  词典首页


请输入您要查询的字词:

 

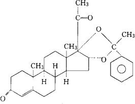
字词 醋苯阿尔孕酮
类别 中英文字词句释义及详细解析
释义 醋苯阿尔孕酮

C29H36O4=448.60

CAS-24356-94-3

[16α(R)]-16,17-[(1-苯基亚乙基)双(氧)]-孕甾-4-烯-3,20-二酮。

[16α(R)]-16,17-[(1-Phenylethylidene)bis(oxy)]pregn-4-ene-3,20-dione.

(R)-16a,17-二羟基孕甾-4-烯-3,2-二酮与苯乙酮形成的环乙缩醛。

(R)-16α,17-Dihydroxypregn-4-ene-3,20-dione cyclic acetal with acetophenone.

孕激素药类。

Algestone Acetophenide,Deladroxone,Droxone,SQ 15,101,Alphasone,Acetophenide,Bovitrol.

USAN.

随便看

 

离鸟网收录3541549条中英文词条,其功能与新华字典、现代汉语词典、牛津高阶英汉词典等各类中英文词典类似,基本涵盖了全部常用中英文字词句的读音、释义及用法,是语言学习和写作的有利工具。

 

Copyright © 2004-2024 vtrois.com All Rights Reserved
更新时间:2026/4/17 17:47:37