网站首页  词典首页


请输入您要查询的字词:

 

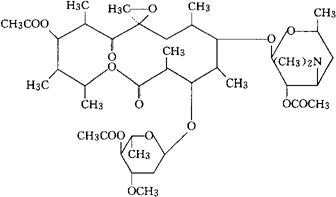
字词 醋竹桃霉素
类别 中英文字词句释义及详细解析
释义 醋竹桃霉素

C41H67NO15=813.98

CAS-2751-09-9

竹桃霉素三乙酰酯。

Oleandomycin triacetyl ester.

三乙酰竹桃霉素。

Triacetyl oleandomycin.

抗菌药。

Troleandomycin,Cyclamycin,Isotriacin,Aovine,Cetilmin,Matnomycin,Oleandocetine,Oleandocyn,Speotrobact,TAO,Treolmicina,Tribiocillina,NSC108166,Evramycin,Wytrion,Cyclamin.

INN,BAN,DCIT,FP,JP,NP,NFN,USAN,USP.

随便看

 

离鸟网收录3541549条中英文词条,其功能与新华字典、现代汉语词典、牛津高阶英汉词典等各类中英文词典类似,基本涵盖了全部常用中英文字词句的读音、释义及用法,是语言学习和写作的有利工具。

 

Copyright © 2004-2024 vtrois.com All Rights Reserved
更新时间:2026/4/20 17:01:40