网站首页  词典首页


请输入您要查询的字词:

 

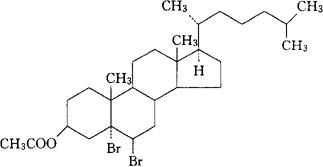
字词 醋溴考尔
类别 中英文字词句释义及详细解析
释义 醋溴考尔

C29H48βr2O2=588.51

CAS-514-50-1

5,6-β-二溴-5α-胆甾烷-3β-醇醋酸酯。

5,6-β-Dibromo-5α-cholestan-3β-ol acetate.

催眠镇静药。

Acebrochol.

INN,DCF,USAN.

随便看

 

离鸟网收录3541549条中英文词条,其功能与新华字典、现代汉语词典、牛津高阶英汉词典等各类中英文词典类似,基本涵盖了全部常用中英文字词句的读音、释义及用法,是语言学习和写作的有利工具。

 

Copyright © 2004-2024 vtrois.com All Rights Reserved
更新时间:2026/4/18 18:02:23