网站首页  词典首页


请输入您要查询的字词:

 

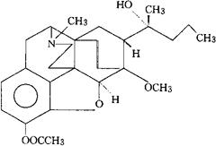
字词 醋托啡
类别 中英文字词句释义及详细解析
释义 醋托啡

C27H35NO5=453.58

CAS-25333-77-1

6,7,8,14-四氢-7α-(1-羟基-1-甲基丁基)-6,14-内-乙烯基东罂粟碱3-醋酸酯。

6,7,8,14-Tetrahydro-7α-(1-hydroxy-1-methylbutyl)-6,14-en-do-ethenooripavine 3-acetate.

镇痛药。

Acetorphine.

INN,BAN,USAN,MI.

随便看

 

离鸟网收录3541549条中英文词条,其功能与新华字典、现代汉语词典、牛津高阶英汉词典等各类中英文词典类似,基本涵盖了全部常用中英文字词句的读音、释义及用法,是语言学习和写作的有利工具。

 

Copyright © 2004-2024 vtrois.com All Rights Reserved
更新时间:2026/4/18 11:18:31