酸性枣红
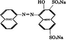
【别名】 酸性红酱。 【国外相应商品名】 Acilan Bordeaux B(BAY) Bordeaux A(S) Wool Bordeaux BN(Acna) 【结构式】  【产品质量标准】 企业标准(上海染化五厂等)。 外观: 紫红色粉末 色光: 与标准品近似 强度: 为标准品100±3 在羊毛织物上的染色坚牢度: 符合标准品 【功能与特点】 溶于水呈品红,微溶于乙醇,不溶于其它有机溶剂。遇浓硫酸呈深蓝色,稀释后为品红,微溶于浓硝酸呈蓝光红色转变为黄光红色,遇10%氢氧化钠液呈红光棕色。其水溶液加浓盐酸为深红色,加浓氢氧化钠呈橙棕色。 【用途和用法】 可用于皮革染色。 【使用注意事项】 贮存于阴凉干燥处,避免日晒,防止受热受潮。 【主要生产厂家】 上海染化五厂,天津染化一厂等。 |