网站首页  词典首页


请输入您要查询的字词:

 

字词 酸性嫩黄2G
类别 中英文字词句释义及详细解析
释义 酸性嫩黄2G

【别名】 酸性嫩黄2GS、酸性淡黄2G。

【国外相应商品名】

Erio Yellow 2G(CGY)

Sandolan Yellow E-2GL(S)

Kayacyl Yellow GG(KYK)

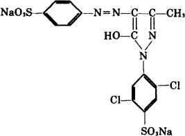
【结构式】

【功能与特点】 浅黄色粉末。溶于水呈绿光黄色,微溶于乙醇和丙酮,不溶于其它有机溶剂。于浓硫酸中为绿光黄色,将其稀释后不生成沉淀,遇浓硝酸呈红光黄色。它的水溶液加盐酸不变,加氢氧化钠液几乎不变。它的水溶液加雕白块脱色,但在空气中氧化,溶液又显出红光紫色。染色时遇铜、铁离子色泽稍红而暗。拨染性好。

【用途和用法】 可用于皮革染色。

【使用注意事项】 贮存于阴凉干燥处,避免日晒,防止受热受潮。

【主要生产厂家】 天津染料厂、上海染化八厂等。

随便看

 

离鸟网收录3541549条中英文词条,其功能与新华字典、现代汉语词典、牛津高阶英汉词典等各类中英文词典类似,基本涵盖了全部常用中英文字词句的读音、释义及用法,是语言学习和写作的有利工具。

 

Copyright © 2004-2024 vtrois.com All Rights Reserved
更新时间:2026/4/18 15:54:24