网站首页  词典首页


请输入您要查询的字词:

 

字词 酸性亚硫酸盐、亚硫酸氢盐蒸煮液的分析计算
类别 中英文字词句释义及详细解析
释义 酸性亚硫酸盐、亚硫酸氢盐蒸煮液的分析计算

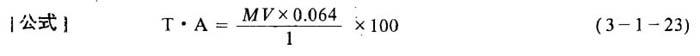
1.总二氧化硫的测定计算

[说明]总二氧化硫又称总酸,以T·A表示,系指酸液中所含二氧化硫的总量,即游离二氧化硫(F·A)和化合二氧化硫(C·A)之和。

[测定方法]用移液管吸取蒸煮液10mL于100mL已盛一部分蒸馏水的容量瓶中,用水稀释至刻度,摇匀。取一250mL锥形瓶,预先注入50~100mL蒸馏水及1~2mL新配制的淀粉指示剂,用移液管吸取10mL上述制备的蒸煮液注入锥形瓶中,以0.05M碘标准溶液滴定至恰显蓝色。

式中 T·A-总二氧化硫含量(%)

M、V-滴定所用碘标准溶液的摩尔浓度(mol/L)及耗用体积(mL)

0.064-与1mol碘溶液相当的二氧化硫的量(g)

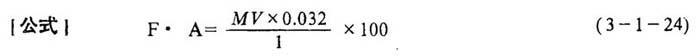
2.游离二氧化硫的测定计算

[说明]游离二氧化硫又称游离酸,以F·A表示,系指蒸煮液中以游离状态存在的二氧化硫及亚硫酸氢盐中所含二氧化硫总量的一半。

❶ 方法一

[测定方法]用移液管吸取10mL蒸煮液于预先盛有一部分蒸馏水的100mL容量瓶中,稀释至刻度,摇匀。取一250mL锥形瓶,预先注入50~100mL蒸馏水及数滴酚酞指示剂,用移液管吸取上述制备的蒸煮液10mL注入锥形瓶中,以0.1M的氢氧化钠标准溶液滴定至恰显粉红色且能稳定60s钟为止。如加入酚酞指示剂为红色,则应以0.1M盐酸标准溶液滴定至无色为止,此时药液中不含游离酸而含游离碱。

式中 F·A-游离二氧化硫含量(%)

M、V-滴定用氢氧化钠标准溶液的摩尔浓度(mol/L)及耗用体积(mL)

0.032-与1mL1mol氢氧化钠溶液相当的二氧化硫的量(g)

❷ 方法二

[测定方法]另一方法是将前述测定总二氧化硫后的溶液,加入一滴0.1MNa2S2O3标准溶液使蓝色褪灭后,以甲基红为指示剂,用0.1MNaOH标准溶液滴定至溶液由红色变为黄色为止。

式中 M1V1-滴定用NaOH标准溶液的摩尔浓度(mol/L)和耗用体积(mL)

其它同式3-1-23和式3-1-24

3.化合二氧化硫的测定计算

[说明]化合二氧化硫又称化合酸,以C·A表示,指蒸煮液中全部亚硫酸盐及亚硫酸氢盐中二氧化硫总量的一半。

[公式] C·A=T·A-F·A (3-1-26)

式中 C·A-化合二氧化硫含量(%)

其它同上

[注意]若蒸煮液中含有游离碱时,则:

C·A=T·A (3-1-27)

4.三氧化硫的测定计算

[测定方法]取一250mL锥形瓶,预先注入100mL盐酸-联苯胺溶液,用移液管吸取50mL蒸煮液注入其中,摇匀,静置10min钟。此时蒸煮液中硫酸酐即与盐酸-联苯胺作用生成硫酸-联苯胺沉淀,用双层滤纸滤出沉淀,沥干滤液。用10mL冷水分次洗涤沉淀及滤纸,每次洗涤必须等洗液沥干后,再进行第二次洗涤,而且尽可能用少量水。最后将沉淀连同滤纸移入200mL锥形瓶中,加入50mL水,剧烈摇荡使滤纸分散成纤维状,加热至50℃,加入数滴酚酞指示剂,用0.1MNaOH标准溶液滴定至出现微红色,复将溶液加热至沸,如红色褪失后,再滴入0.1MNaOH标准溶液至复现微红色为止。

式中 P-三氧化硫含量(%)

M、V-滴定所用NaOH标准溶液的摩尔浓度(mo1/L)及体积(mL)

0.040-与1mL1molNaOH溶液相当的三氧化硫的量(g)

[注意]本法不适用于含有有机物的回收液的测定。

随便看

 

离鸟网收录3541549条中英文词条,其功能与新华字典、现代汉语词典、牛津高阶英汉词典等各类中英文词典类似,基本涵盖了全部常用中英文字词句的读音、释义及用法,是语言学习和写作的有利工具。

 

Copyright © 2004-2024 vtrois.com All Rights Reserved
更新时间:2026/4/18 5:40:27