酒石酸麦角胺碱[台]
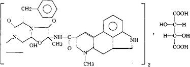
C66H70N10O10·C4H6O6=1313.46 CAS-379-79-3 酒石酸麦角胺盐(2∶1)。 Ergotamine tartrate(2∶1)(salt). 治偏头痛药。用于偏头痛、子宫内膜炎等。 酒石酸麦角胺。 Ergostat,Migretamine,Cynergen,ErgotamineTartrate,Ergomar,Medihaler Ergofamine. 酒石酸麦角胺片,酒石酸麦角胺注射液,麦角胺碱锭(酒石酸麦角胺碱锭),麦角胺碱注射液(酒石酸麦角胺碱注射液)。 USAN,USP,MI.  |