网站首页  词典首页


请输入您要查询的字词:

 

字词 酒石酸苯茚啶[中]
类别 中英文字词句释义及详细解析
释义 酒石酸苯茚啶[中]

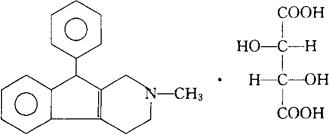
C19H19N·C4H6O6=411.45

CAS-569-59-5

2,3,4,9-四氢-2-甲基-9-苯基-1H-茚并[2,1-c]吡啶酒石酸盐。

2,3,4,9-Tetrahydro-2-methyl-9-phenyl-1H-indeno[2,1-c]pyridine tartrate.

抗组胺药。用于荨麻疹、枯草热、过敏性鼻炎、神经性皮炎等。

酒石酸苯茚胺,抗敏胺,苯茚啶酒石酸盐。

Phenindamine Tartrate,Tephorin,Thephorin.

酒石酸苯茚啶片(苯茚胺酒石酸片),复方苯茚胺酒石酸片。

BP,NF,USAN.MI.

随便看

 

离鸟网收录3541549条中英文词条,其功能与新华字典、现代汉语词典、牛津高阶英汉词典等各类中英文词典类似,基本涵盖了全部常用中英文字词句的读音、释义及用法,是语言学习和写作的有利工具。

 

Copyright © 2004-2024 vtrois.com All Rights Reserved
更新时间:2026/4/19 7:14:53