酒石酸右吗咯酮
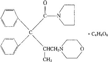
C25H32N2O2·C4H6O6=542.63 CAS-2922-44-3 CAS-357-56-2-(dextromoramide) (±)-4-[2-甲基-4-氧代-3,3-二苯基-4-(1-吡咯烷基)丁基]吗啉重酒石酸盐。 (+)-4-[2-Methyl-4-oxo-3,3-diphenyl-4-(1-pyrrolidinyl)butyl]morpholine bitartrate. 镇痛药。 酒石酸右吗拉胺。 Dimorlin Tartrate,Dextromoramide Tartrate,Errccalma,Jetrium,Narcolo,Palfium. INN & BAN(Dextromoramide),BP,USAN,MI.  |