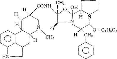
酒石酸双氢麦角胺
C33H37N5O5·C4H6O6=733.76 CAS-511-12-6(dihydroergotamine) (5′α)-9,10-二氢-12′-羟-2′-甲基-5′-(苯甲基)-麦角曼-3′,-6′,18-三酮,(+)-酒石酸盐。 (5′α)-9,10-Dihydro-12′-hydroxy-2′-methyl-5′-(phenylmethyl)ergotoman-3′,6′,18-trione,(+)-tartrate(salt). 抗肾上腺素药。用于偏头痛急性发作及血管性头痛,肢端动脉痉挛、冠脉痉挛等。 Dihydroergotamine Tartrate. BP,MI.  |