网站首页  词典首页


请输入您要查询的字词:

 

字词 配制蒸煮液时补加水量的计算
类别 中英文字词句释义及详细解析
释义 配制蒸煮液时补加水量的计算

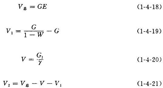
【公式】

式中 V——每球应加总液量(m3)

G——绝干原料量(t)

E——液比(t/m3)

V1——原料带入水量(m3)

W——原料水分(%)

V——每球亚铵液量(m3)

G1——每球固体亚铵用量(kg)

γ——亚铵液密度(kg/m3)

V2——每球应补加水量(m3)

【例6】在例1~3中,若原料水分为12%,液体亚铵密度为1190kg/m3,求补加水的量。

解:每球应加总液量V

随便看

 

离鸟网收录3541549条中英文词条,其功能与新华字典、现代汉语词典、牛津高阶英汉词典等各类中英文词典类似,基本涵盖了全部常用中英文字词句的读音、释义及用法,是语言学习和写作的有利工具。

 

Copyright © 2004-2024 vtrois.com All Rights Reserved
更新时间:2026/4/18 5:36:03