网站首页  词典首页


请输入您要查询的字词:

 

字词 那诺芬
类别 中英文字词句释义及详细解析
释义 那诺芬

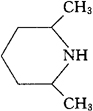
C7H15N=113.20

CAS-504-03-0

2,6-二甲基哌啶。

2,6-Lupetidine.

抗高血压药,神经阻断药。用于轻中度高血压,有止痒作用,可用于神经性皮炎和湿疹。

Nanofin,Naniopin.

INN,USAN.

随便看

 

离鸟网收录3541549条中英文词条,其功能与新华字典、现代汉语词典、牛津高阶英汉词典等各类中英文词典类似,基本涵盖了全部常用中英文字词句的读音、释义及用法,是语言学习和写作的有利工具。

 

Copyright © 2004-2024 vtrois.com All Rights Reserved
更新时间:2026/4/20 0:03:09