网站首页  词典首页


请输入您要查询的字词:

 

字词 那拉星
类别 中英文字词句释义及详细解析
释义 那拉星

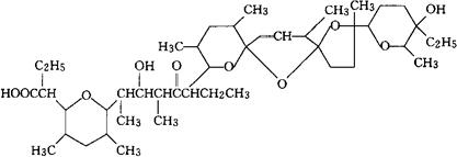
C43H72O11=765.04

CAS-55134-13-9

α-乙基-6-[5-[2-(5-乙基四氢-5-羟-6-甲基-2H-吡喃-2-基)-15-羟-2,10,12-三甲基-1,6,8-三噁二螺[4.1.5.3]十五(碳)-13-烯-9-基]-2-羟-1,3-二甲基-4-氧代庚基]四氢-3,5-二甲基-吡喃-2-醋酸。

α-Ethyl-6-[5-[2-(5-ethyltetrahydro-5-hydroxy-6-methyl-2H-pyran-2-yl)-15-hydroxy-2,10,12-trimethyl1,6,8-trioxadispiro[4.1.5.3]pentadec-13-en-9-yl]-2-hydroxy-1,3-dimethyl-4-oxohepthyl]tetrahydro-3,5-dimethyl-2H-pyran-2-acetic acid.

4-甲基盐霉素。

4-Methylsalinomycin.

抗菌药,抗鸡球虫感染。

甲基盐霉素。

Narasin,Narasin A,Monteban,A 28068A,C 18-205,C-7879B,Lilly-79891.

INN,BAN,USAN.

随便看

 

离鸟网收录3541549条中英文词条,其功能与新华字典、现代汉语词典、牛津高阶英汉词典等各类中英文词典类似,基本涵盖了全部常用中英文字词句的读音、释义及用法,是语言学习和写作的有利工具。

 

Copyright © 2004-2024 vtrois.com All Rights Reserved
更新时间:2026/4/19 0:39:00