造纸纤维流失率的计算
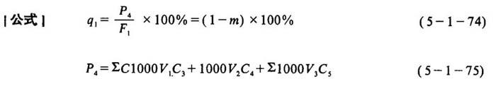
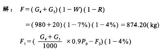
[说明]指造纸过程全部绝干纤维流失量占耗用纸浆的绝干纤维量的百分比。是反应造纸机在纸张制造过程中,纤维的流失情况的一个量。  式中 q1——造纸纤维流失率(%) P4——造纸过程全部绝干纤维流失量(kg) F1——相应耗用纸浆的绝干纤维总量(kg) m——造纸纤维流失率(%) V1——抄纸各部白水流失量(m3) C3——抄纸各部白水流失浓度(%) V2——抄纸清洗流失量(m3) C4——抄纸清洗流失浓度(%) V3——打浆白水流失量(m3) C5——打浆白水流失浓度(%) [例]某厂新闻纸车间,每吨成纸中合格品980kg,不合格品20kg,成纸水分7%,填料含有率4%,单位浆耗1072kg,废品和损纸的绝干纤维实量20kg,计算其造纸纤维收获率和流失率各为多少?   |