网站首页  词典首页


请输入您要查询的字词:

 

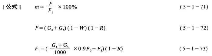
字词 造纸纤维收获率的计算
类别 中英文字词句释义及详细解析
释义 造纸纤维收获率的计算

[说明]指成纸含绝干纤维的总量与相应耗用纸浆的绝干纤维总量的百分比。

式中 m——造纸纤维收获率(%)

F——成纸含绝干纤维的总量(kg)

F1——相应耗用纸浆的绝干纤维总量(kg)

G4——成品量(合格品量)(kg)

G5——不合格品量(kg)

W——成纸水分(%)

R——填、胶料含量(%)

P0——单位用浆量(浆耗)(kg浆/t纸)

F3——损纸和废品的绝干纤维量(kg)该部分纤维没有用于成纸,而是回用为纸浆

随便看

 

离鸟网收录3541549条中英文词条,其功能与新华字典、现代汉语词典、牛津高阶英汉词典等各类中英文词典类似,基本涵盖了全部常用中英文字词句的读音、释义及用法,是语言学习和写作的有利工具。

 

Copyright © 2004-2024 vtrois.com All Rights Reserved
更新时间:2026/4/20 21:28:03