通过圆筒壁的定态热传导速率计算
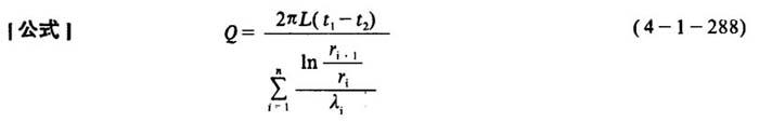
1.单层圆筒壁  式中 Q——传递热量(kJ) L——圆筒长度(m) r1、r2——内径及外径(m) t1、t2——内外表面温度(℃) 2.多层圆筒壁  式中符号含义及单位均同上 ]例]有一直径为Φ38×2.5mm的蒸汽管,共50m长,导热系数λ1=46.5W/(m·℃),为了减少热损失,在管外包上两层绝缘层,第一层是50mm厚的蛭石,导热系数λ2=0.0697W/(m·℃),第二层是10mm厚的石棉泥,λ3=0.51W/(m·℃),若管内壁温度为120℃,石棉泥外表温度为20℃,求该蒸汽管损失的热量?如果标煤的发热值为29307.6kJ/kg,求每年损失的热量折标煤多少吨?  |