网站首页  词典首页


请输入您要查询的字词:

 

字词 通货膨胀缺口模型
类别 中英文字词句释义及详细解析
释义 通货膨胀缺口模型

J.M·凯恩斯关于总需求膨胀情况下经济均衡的一种理论模型。凯恩斯假定,有关商品和劳务的价格是灵活的,足以达到可以弥补通货膨胀缺口的程度,这样,商品价格的增长将封闭通货膨胀缺口。凯恩斯所建立的模型如图16-42所示:

横轴表示国民生产总量。OD是以原点延伸的45°角斜线。O×=OF是充分就业产量。假定支出总量,即消费量C、投资量I、政府开支G的总和(由斜线C+I+G表示)大于充分就业量所能提供的商品和劳务,则C+I+G将在高于B点之处(图中的A′点)与45°线OD相交。图16-42中的A′B便形成了“通货膨胀缺口”。这个缺口在A′处暂时弥补。但F′F只表示名义所得的增加,并不表示实质产量的增加,即只代表物从价上涨。假如支出总量的增加只是一次性的,则缺口在A′弥补后,通货膨胀也仅限于FF′,但如果C+I+G继续向上移动,则新的缺口重新出现,通货膨胀也将大于FF′。要使通货膨胀缺口不再出现,商品价格必须跑在货币工资再次增长之前。工资滞后假说是《如何筹措战费》一书的中心论据。从上述简单模型可以得到凯恩斯关于通货膨胀缺口成因的一个基本看法,即通货膨胀缺口就是由政府支出总量大于充分就业条件下所提供的商品和劳务总量造成的。凯恩斯还进一步分析了战时条件下通货膨胀缺口的形成和填补、通货膨胀缺口与国民收入分配的关系,从而得出他的另外几个结论:
❶ 缺口的存在与消除,受国民收入在工资收入者与利润获得者之间的分配比例的影响。
❷ 国民收入中战争支出比率的大幅度上升会压低工资增长率,若工资增长率压不下来,则必然出现战时通货膨胀缺口。
❸ 物价与工资总额成正比,而与产量或劳动生产率成反比;工资与产量(劳动生产率)成正比,而与就业量成反比。因此,维持实际工资不下降会形成通货膨胀缺口。
❹ 通货膨胀率与工资在国民收入中所占份额的高低成反比,提高通货膨胀率会使工资收入在国民收入中的份额下降,从而消除实际支出大于实际国民收入的超额量。于是通货膨胀在凯恩斯笔下成为收入从低储蓄倾向和低边际税率的工资收入者向高储蓄倾向和高边际税率阶层转移的过程,通货膨胀缺口靠通货膨胀来提供弥补的资金。但是,上述论述的模型过于简单,新凯恩斯学派的A·史密斯和G·阿克利将凯恩斯的文字表述转换成一个正式模型,该模型由八个方程组成:

(1)

式中,变量A为常量,它表示实际的政府支出、私人及公共投资,是外生变量。

式中,Gut为企业主的实际消费;m为自发的实际消费;Cu为企业主的边际消费倾向;Rt为企业主的名义利润;Pt为一般物价水平。

式中,Cwt为工资收入者的实际消费;Cw为工资收入者的边际消费倾向;Qt为工人的名义工资收入。

Qt=WtN0 (4)

式中,Wt为货币工资率,N0为外生给定的充分就业水准。

Yt=PtX0 (5)

式中,Yt为名义国民生产总值;X0为外生给定的充分就业的实际产量水准。

Yt=Qt+Rt (6)

(6)式是一个恒等式,它规定名义国民生产总值等于要素收入的和。

Xt=X0=Cwt+Cut+A (7)

(7)式规定实际产量等于实际支出的各个部类的和。

Wt=φPt-1 (8)

(8)式表示按照工资滞后假说描述的工资和物价之间的关系。

上述模型的核心假设是边际消费倾向存在差异:工资收入者的边际消费倾向大于企业主的边际消费倾向,即Cw-Cu>0。

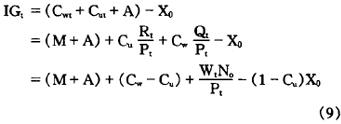
假定战争开始前资金平衡是成功的,通货膨胀缺口IG等于零,物价水准保持不变(Pt=Pt-1=P0)。方程式(8)中的参数必定相当于战前均衡水平下的实际工资。通货膨胀缺口可以定义为:商品市场上在一定的充分就业产出水平下的超额需求。即:

按战前的自发水准A,工资W0和物价P0,IGt等于零。战争支出使A增加△A。在给定的W0和P0下,将产生一个正的通货膨胀缺口(商品缺口)。因为工资对考察期来说是固定的(Wt=φP0),所以只要物价上涨就可以弥合商品市场上的缺口。物价必须完成从P0到P1的上升,在W1=φP0和IGt=0的条件下,可以通过方程(9)算出:

计算结果表明,通货膨胀率(确切地说是时期1的物价水准对基期的物价水准的比率)实际上取决于△A和Cw-Cu的差。Cw-Cu的差值越大,实际自发支出的增量△A就越大。相反,通货膨胀率与充分就业的实际产量供给X0负相关。

方程(10)表达了从时间t0过渡到t1期间的通货膨胀率。在后面诸期物价的变动情况必须借助工资滞后假说来进行分析。虽然物价水准从P0上升到P1弥合了商品市场的缺口,但在时期2,它会把名义工资向上拉动到W2=φP1从而恢复原来的实际工资水准。方程(9)表明,名义工资的这种向上再调整会再次导致商品市场的缺口,这个缺口只能由另一轮的物价上涨来消除,物价上涨幅度由方程(10)决定。只要外生给定的自发支出率超过了原来的均衡水准,通货膨胀过程就不会中断。这个模型的要点是:在第一轮价格水平从P0上升到P1时,实际工资下降,而随后的通货膨胀一定是为了防止实际工资回到它的初始水平。只有工资的调整滞后于一般物价水准的变动,通货膨胀才能成功地阻止实际工资恢复原来的水准。在很长的一段时间里,上述阐述一直是凯恩斯《如何筹措战费》的标准解释。

随便看

 

离鸟网收录3541549条中英文词条,其功能与新华字典、现代汉语词典、牛津高阶英汉词典等各类中英文词典类似,基本涵盖了全部常用中英文字词句的读音、释义及用法,是语言学习和写作的有利工具。

 

Copyright © 2004-2024 vtrois.com All Rights Reserved
更新时间:2026/4/18 7:18:09