网站首页  词典首页


请输入您要查询的字词:

 

字词 通货膨胀对财政赤字的影响
类别 中英文字词句释义及详细解析
释义 通货膨胀对财政赤字的影响

【内容介绍】:

1.引言

通货膨胀以各种方式影响著财政收支,从而会改变财政赤字的规模。

尽管讨论税收收入与通货膨胀间的关系的文献很多(Tanzi,1980,1985b),但考察通货膨胀对财政支出水平的影响的文章却很少。一般来说,预算各部分对通货膨胀压力的反应不同,而这些反应通常取决于政治因素、工会力量、工资和养老金的指数化规定等等。

因此,财政支出水平与通货膨胀率间的自动关系难以一般化,但有一种情况例外,即名义利息支出与公债的偿还有关。

就这类支出而言,现在人们普遍认为预期通货膨胀的提高几乎总是带来名义利息支付的自动增加。

在通货膨胀情况下,利息支出的增长通常用费雪效应(Fisher effect)来解释,表明在通货膨胀的情况下,名义利率近似等于没有通货膨胀情况下的实际利率加上预期通货膨胀率。尽管在实际情况下名义利率的提高比费雪所说的或多或少,但毫无疑问,当预期通货膨胀率提高时,名义利率也会提高,除非受到政府措施的人为限制。

当内债-GDP比率很高时,预期通货膨胀率的提高可能导致名义利息支出迅速且大幅度增加。我们考察这样一个例子。为简化起见,假定全部公债都由一个人持有。此人的所有收入都来自政府的利息支付,同时,他作为消费者,其消费行为取决于这种收入。

另假定这种公债的期限很短,公债总额为100万元。在预期价格比较稳定的情况下,名义利率和实际利率都是5%,个人的收入和政府的利息支出是5万元。

在预期通货膨胀率为10%且费雪效应存在的情况下,名义利率为15%。因此,个人获得的名义利息所得为15万而不是5万元,政府的利息支出也同样如此。可见,通货膨胀率从零提高到10%使得政府的利息支出增加了200%。因此,现在越来越多的文献开始研究通货膨胀对财政赤字的影响(Buiter,1983;Eisner,1986;Eisner and Pieper,1984;Miller,1982;Tanzi,1985a)。

2.传统的财政赤字定义

一般来说,财政赤字的计量有两种方法,即国际货币基金组织(IMF)方法和国民账户核算体系(SNA)方法。IMF方法以现金制定义财政赤字,即财政赤字等于政府的现金支出总额(包括利息支出但不包括未偿公债存量的分期偿还支出)与现金收入总额(包括税收收入、非税收收入和补助,但不包括债务收入)的差额。该定义与SNA定义的差别主要表现在两个方面(Tanzi,Blejer,and Teijeiro,1987,p.714):第一,IMF定义以现金制为基础,而SNA定义以应计制为基础;第二,IMF定义把向私人部门的净贷款看作是决定赤字的支出因素。

按照传统的计量方法即IMF方法,并非所有与公债偿还有关的支出都包括在赤字的计量中:一方面,利息支出加入与债务无关的支出中,但分期偿还支出不包括在内;另一方面,当期收入作为政府收入,而债务收入不包括在内。

因此,财政赤字反映的是净政府债务弥补的差额,包括从中央银行举借的直接债务。可以看出,如此定义的财政赤字既没有直接测定货币扩张的程度,也没有测定政府对信贷市场的总压力,因为为分期偿还支出融资所必要的举债数额没有作为财政赤字的一部分。

根据这个定义,政府的融资操作有两种,都与本国持有债务有关,不影响当期财政赤字:一是仅涉及到公债构成的变化操作,例如长期公债与短期国库券之间的替代;另一是涉及到现存公债的货币化操作。第一类操作反映的是债务管理政策,旨在取得公债的特定期限结构。

第二类操作反映的是中央银行的公开市场业务,亦即纯粹的货币政策。因此,在传统的定义下,财政赤字与未偿公债的期限结构、债务货币化的程度无关。当然,在长期,这一结论不成立,因为无论是债务管理政策还是公开市场操作,最终都将影响赤字规模。

3.通货膨胀对财政赤字的影响

3.1 不同的公债类型与通货膨胀对财政赤字的影响

这里分析的是,在公债类型不同的情况下,通货膨胀对传统意义上的财政赤字的影响。

为了使分析尽可能的简化,现假定(1)实际国民收入不随时间变化,(2)预算在初始时是平衡的,(实际)利息支出由其他项目的盈余来融资,(3)公债的名义利率紧随通货膨胀率的变化而变化,以便使实际利率保持不变,(4)实际和预期通货膨胀率相等,(5)政府的政策使财政收入和非利息支出与通货膨胀同步增长,(6)通货膨胀率不变。

预算的初始平衡意味著:

D0=G0-R0+S0r=0 (1)

式中各符号的经济含义如下:

D0——初期的财政赤字

R0——初期的财政收入

G0——初期的非利息支出

S0——初期伊始的公债存量

r——实际利率

浮动利率公债的情况 名义利率(i)的完全通货膨胀调整假设意味著:

i=(1+π)(1+r)-1=π+r(1+π) (2)

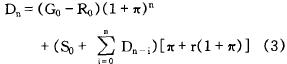
在第n期的财政赤字(Dn)变成:

(3)式右边的第一项说明的是政府收入和非利息支出与通货膨胀同速增长的假设,第二项表明的是第n期利息支出的数额,第n期支付名义利息的债务存量等于第0期的债务存量(S0)加上第n期伊始的累积赤字。

(3)式意味著在(1)式既定的前提下,第1期的财政赤字是:

D1=(G0R0)(1+π)+S0r(1+π)+S0π

=(1+π)(G0-R0+S0r)+S0π=S0π

在第2期,(3)式变为:

D2=(G0-R0)(1+π)2+(S0+S0π)[π+r(1+π)]

=(1+π)2(G0-R0+S0r)+S0π(1+π)

=S0π(1+π)

在第n期,(3)式可以写成:

Dn=S0π(1+π)n-1 (4)

在假定实际国民收入水平不变的情况下,也就是说,名义GDP的增长率与通货膨胀率相同,则

GDPn=GDP0(1+π)n (5)

因此,财政赤字占GDP的比率

是通货膨胀率和浮动利率公债初始存量占GDP比率的正函数。

外债的情况 在外债以及指数化内债的情况下,利率不受本国通货膨胀的影响(外国通货膨胀率假定为零);但利息支出总额与通货膨胀同速增长,因为以本国货币计量的债务存量名义值将随著汇率的贬值而增加。

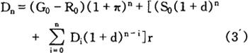
因此,(3)式改写为:

(3′)式右边的第二项表明的是利息支出;利率(r)适用于按货币贬值率(d)进行指数化的初始债务以及以后赤字中的债务累积(在第n期末之前也被指数化)。在d=r这种假设条件下,在第1期,(3′)式变为:

D1=(G0-R0)(1+π)n+S0r(1+π)

=(1+π)(G0-R0+S0r)=0 (7)

在第2期,(3′)式变为:

D2=(G0-R0)(1+π)2+S0r(1+π)2

=(1+π)2(G0-R0+S0r)=0 (8)

因此,由于名义利息支出的增加等于最初的财政收入高于非利息支出的数额增加,故预算仍然保持平衡。

3.2 通货膨胀对利息支出的影响

当把预期考虑进来因而反映在名义利率中时,通货膨胀对公债的名义利息将产生直接影响。为了把这种效应与通货膨胀对政府预算的其他影响区别开来,假定非利息支出与通货膨胀以相同的比例增长,决策者通过相机抉择措施使税制适应新的通货膨胀环境,以便使税收收入占GDP的比率保持不变(Tanzi,1977)。

然而,同样的假设不能适应于公债的利息支出。一般而言,现存内债的名义利息支出的增加是财政当局所无法控制的,因为它依赖于市场利率的变化和指数化规定。一般而言,名义利息支出的增加并不代表购买力从政府向债务持有者的实际转移,相反,只要实际利率不变,名义利息支出的增加只是补偿了债务持有者因通货膨胀率提高而造成的本金价值的损失。

因此,从实际价值来看,债务持有者并没有因名义利率水平的提高而变富,尽管如果通货膨胀减少了其他人的实际收入,从而相对而言债务持有者也许是富了。

在第3.1节中,我们用公式阐明了在公债的浮动利率情况下,通货膨胀率提高对传统财政赤字的影响。该分析假定政府收入和非债务支出随著价格水平的变化而变化。

换言之,假定原始赤字(primary deficit)即政府支出(不包括利息支出)与政府收入的差额不受通货膨胀率的影响。倘若费雪效应存在,则名义利率完全按预期通货膨胀率调整,得到不变的预期实际收益率;同时假定实际和预期通货膨胀相等,全部公债都由本国持有。在这些假设条件下,可以证明,当通货膨胀加速时,名义利息支出将比价格水平以更高的比例增加,导致财政赤字占GDP的比率提高。

反之,当通货膨胀减速时,财政赤字占GDP的比率将下降。

这一结论的解释是:尽管依据假设,通货膨胀不影响财政收入和非利息支出的实际值,从而不影响原始赤字,但是,它的确会增加利息支出的实际价值,以便补偿公债持有者的未偿公债存量的实际价值损失。这种影响的程度取决于通货膨胀率和浮动利率内债的存量规模。

3.3 通货膨胀对传统财政赤字的影响

第3.1节的分析表明,当公债被指数化或由外币决定时,传统财政赤字不受通货膨胀的影响。为了解释这一结果,假定汇率随著本国价格的变化而变化。也就是说,实际汇率不变,并假定外国通货膨胀率为零。

当通货膨胀加速时,通货贬值导致外债的本国价值与该国价格水平变化成正比例增加。

因此,由于债务存量的实际价值不变,利息支出的增加与本国价格的上涨率相同,从而利息支出占GDP比率保持不变。

因此,在通货膨胀的情况下,只要内债属于短期公债,传统财政赤字占GDP的比率就是通货膨胀率、内债规模以及内外债构成的函数。

对于全部公债都表现为外币的国家,无论其公债规模的大小,财政赤字占GDP的比率不受其通货膨胀率的影响;相反,对于其公债以浮动利率内债持有的国家,财政赤字占GDP的比率将取决于通货膨胀率及其公债规模的大小。这种不对称结果仅源于如下惯例(约定):尽管全部名义利息支出(包括包含在名义利率中的通货膨胀酬金)被看作是财政支出,从而成为财政赤字的一部分,但是,分期偿还支出不被看作是财政支出,从而不增加财政赤字。在高通货膨胀期间,一国隐含地被迫按照该通货膨胀率分期偿还其债务增加额,但现实中的分期偿还并非这样看待。

通货膨胀率越高,这种隐含的分期偿还就越快。

接下来,我们进一步探讨在其他类型公债的情况下,通货膨胀对财政赤字的影响。当长期固定利率公债是政府融资的主要工具时,名义利息支出不受通货膨胀突然加速的影响。

这意味著在开始时,利息支出以及财政赤字相对于GDP而言可能有所下降。在此情况下,政府以牺牲长期公债持有者的利益而获得通货膨胀利得,或者说对公债的持有者隐含地课征了资本税。这种资本税可以认为是政府对其货币和其他名义负债者课征的通货膨胀税。然而,当这种长期公债到期时,分期偿还必定要用新公债的发行来融资,其利率因包含增加的预期通货膨胀率而会更高。

如上所述,本国指数化公债的情况几乎等同于外债的情况,只要本金的通货膨胀调整被看作是分期偿还,从而不被看作是利息支出。依赖于本国价格或外汇价值的指数化规定,调整本金的价值,影响著现在或将来的分期偿还支出的名义价值量。从(固定)利率不得不用于本金的通货膨胀(或汇率)调整这个意义上来说,利息支出也受影响,但这种影响使利息支出仅与本国通货膨胀率成正比例增加,而不改变利息支出和财政赤字占GDP的比率。原则上,指数化公债产生的调整规模近似于外债产生的调整规模。

4.结语

我们通过上述分析得到两个重要结论:第一,通货膨胀率相同、公债占GDP比率相同、税收收入和非利息支出占GDP比率相同的国家,其传统意义上的财政赤字可能大相径庭,这是因为他们的公债构成可能不同。

第二,在内债利率浮动的情况下,通货膨胀使得财政赤字的传统定义出现三个主要缺陷:(1)通货膨胀使得评估财政赤字的准确含义和经济影响变得困难;(2)随著通货膨胀率或公债构成的变化,在一定时期内财政运行的估价变得复杂;(3)由于通货膨胀率和公债类型的不同,各国间的传统财政赤字难以进行比较。。【参考文献】:

财政赤字(Fiscal Deficit)

财政赤字一般计量方法的三个问题(Three Problems with the Usual Measure of the Fiscal Deficit)

财政赤字对通货膨胀的影响:理论分析(Effects of Fiscal Deficit on Inflation:Theoretical Analysis)

Buiter, W.H., 1983, Measurement of the Public Sector Deficit and Its Implication for Policy Evaluation and Design,Staff Papers,International Monetary Fund, Vol.30.

Eisner, R., 1986, How Real Is the Federal Deficit? Free Press.

Eisner, R., and P. J. Pieper, 1984, A New View of the Federal Debt and Budget Deficits, American Economic Review,Vol.74.

Miller, M., 1982, Inflation-Adjusting the Public Sector Financial Deficit, in the 1982 Budget, ed. by J. Kay, Blackwell.

Tanzi, V., 1977, Inflation, Lags in Collection, and the Real Value of Tax Revenue, Staff Papers, IMF, Vol. 24.

Tanzi, V. , 1980, Inflation and the Personal Income Tax: An International Perspective, Cambridge University Press.

Tanzi, V., 1985a, The Deficit Experience in Industrial Counteies, in Essays in Contemporary Economic Problems, 1985: The Economy in Deficit, ed. by P. Caganm, American Enterprise Institute for Public Policy Research.

Tanzi, V., 1985b, Monetary Policy and Control of Public Expenditure, in Public Expenditure and Government Growth, ed. by F. Forte and A. T. Peacock, Blackwell.

Tanzi, V., M. I. Blejer, and M. O. Teijeiro, 1987, Inflation and the Measurement of Fiscal Deficits, Staff Papers,IMF, Vol.34.

随便看

 

离鸟网收录3541549条中英文词条,其功能与新华字典、现代汉语词典、牛津高阶英汉词典等各类中英文词典类似,基本涵盖了全部常用中英文字词句的读音、释义及用法,是语言学习和写作的有利工具。

 

Copyright © 2004-2024 vtrois.com All Rights Reserved
更新时间:2026/4/18 10:57:37