通信建设项目经济评价
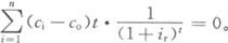
通信建设项目投资经济效益的计量和评定。 指标包括:动态指标,考虑资金时间价值因素,并衡量项目整个寿命期的经济效益;静态指标,不考虑资金时间价值,不考虑项目整个寿命期的经济效益,而直接把项目达到设计能力的收益同项目的投资作比较。常用的指标有: ❶ 投资利润率。计算公式为:  ❷ 单位造价。 又称“单位生产能力造价”。计算公式为:  ❸ 实效系数。计算公式为:  ❹ 内部收益率。指项目可以支持的最大利率。当资金流入的现值总额与资金流出的现值总额,即净现值等于零时的折现率。 其表达式为:  式中:c1——年现金流入量; co——年现金流出量; (c1-co)1——第t年的净现金流量; n——研究期年数; ir——项目可以支持的最大利率,即内部收益率,其计算公式为:  式中:PV——采用低折现率i1时的净现值(正值); NV——采用高折现率i2时的净现值(负值)。 计算时,i1、i2要经几次试算,i1、i2之差以不超过0.5%为宜。 ❺ 投资回收期。建设项目投产后,用累计的收益抵偿项目所耗用的总投资所需要的时间(年)。 分静态投资回收期和动态投资回收期。静态投资回收期的计算公式为:  动态投资回收期的表达式为:  式中:N——动态回收期(年); S——项目年总收入; Cm——年总支出(不含折旧); S-Cm——年回收投资额; i——利率; ——第t年的折现率。 计算时,要从总投资额中逐年扣除回收投资额,以求得投资回收期。 |