网站首页  词典首页


请输入您要查询的字词:

 

字词 连乘评分法
类别 中英文字词句释义及详细解析
释义 连乘评分法

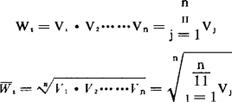
把各个评价项目所得分数连乘求得总分或连乘积开方后根值的大小,作为区分方案的优劣,得分多的方案优于得分少的方案。其公式为:

式中:Wi表示第i方案得分总数;V1、V2……Vn表示方案对第1至第n项评价内容的得分数;i表示方案平均得分数。

随便看

 

离鸟网收录3541549条中英文词条,其功能与新华字典、现代汉语词典、牛津高阶英汉词典等各类中英文词典类似,基本涵盖了全部常用中英文字词句的读音、释义及用法,是语言学习和写作的有利工具。

 

Copyright © 2004-2024 vtrois.com All Rights Reserved
更新时间:2026/4/19 3:58:51