进、排风窗面积的计算
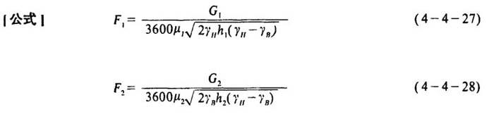
1.方法一  式中 F1。F2——分别表示进、排风窗的面积(m2) G1、G2——分别表示进、排风窗的进、排风量(kg/h) μ1、μ2——分别表示进、排风窗的流量系数,见表4-4-15 γH——进风窗中线至中和界平面空气的重度(N/m3) h1、h2——分别表示进、排风窗中心到中和界面的垂直距离(m) g——重力加速度(9.81m/s2) 表4-4-15 由窗口形式决定窗户的通风流量系数μ  注:ψ表示进排气孔局部阻力系数;μ表示流量系数。 2.方法二 [说明]在稳定情况下,进风量等于排风量,采用同型窗口,室内外温差不太大时,还可用下式计算。  式中符号含义及单位均同式4-4-27和式4-4-28。 [讨论]当厂房高度为已知,则可由此推算出进风窗和排风窗的中心线间距h,于是在F1及F2算出后,就可以直接算出h1和h2。 3.方法三 [说明]当仅有热压作用而且进、排风口面积相等时,可采用此法计算出q值,再求出车间总排气量后,就可以计算出开窗面积。  式中 q——当仅有热压作用而且进、排风口面积相等时,经1m2窗口的排气量[m3/(m2·h)] H——进、排风窗之间的中心距离(m) △t——室内外空气的平均温度(℃) |