网站首页  词典首页


请输入您要查询的字词:

 

字词 运输论
类别 中英文字词句释义及详细解析
释义 运输论

研究从一些货源地到另一些目的地之间的最优运输方法。

经过适当的修改之后,运输论模型也可用来解决与运输毫无关联但本质一样的问题,如向机器分派工作等。1941年,希奇柯克(Hitchcock)发表了一篇题为《产品从若干产地到众多销地的分配》的论文。1947年,科普曼(Coopman)提出了另一篇论文《运输系统的最优利用》。

这可以看做是运输论的起源,它们为运输方法问题的研究奠定了基础。

运输论的模型包括一个目标函数,一些资源约束,其方法也就是要在这些资源约束下求目标的最优。

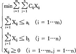
例:已知某种产品有A1…Am个产地,有B1…Bn个销地,各产地产量、各销地销量及产销地之间的运费见表11-4,如何在满足各产、销地的要求下使总运费最小?

表11-4

解:设Xij(i=1…m,j=1…n)为从产地运送到销地Bj的运输量。

则总运费为:

各产地运出量应不大于其产量:

各销地运入量应不大于其销量:

因此,模型为:

可以看到,这就是一个线性规划模型,所以运输论问题实际上是线性规划问题的一个子集。具体解法可由单纯形法通过计算机完成。

随便看

 

离鸟网收录3541549条中英文词条,其功能与新华字典、现代汉语词典、牛津高阶英汉词典等各类中英文词典类似,基本涵盖了全部常用中英文字词句的读音、释义及用法,是语言学习和写作的有利工具。

 

Copyright © 2004-2024 vtrois.com All Rights Reserved
更新时间:2026/4/19 9:46:58