网站首页  词典首页


请输入您要查询的字词:

 

字词 过程决策程序图法
类别 中英文字词句释义及详细解析
释义 过程决策程序图法

简称“PDPC法”。

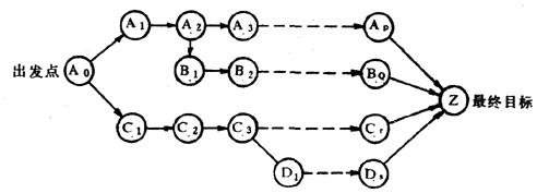
按照“一开始就不能失败”的原则,在制定实现研制目标的计划阶段,对计划执行过程中可能出现的问题和结果作出预测,并提出相应的多个处理方案及预防措施;同时,在计划执行过程中也随时进行预测和修正,以引导事态向所预测目标发展的一种方法。这种按时间顺序、系统地表现为达到最终目标的计划执行全过程的图就是过程决策程序图(见附图)。PDPC法一般用于制定目标管理(如新产品开发、老产品改造等)中的实施计划,以及预测系统中的重大事故和制定相应措施等。

随便看

 

离鸟网收录3541549条中英文词条,其功能与新华字典、现代汉语词典、牛津高阶英汉词典等各类中英文词典类似,基本涵盖了全部常用中英文字词句的读音、释义及用法,是语言学习和写作的有利工具。

 

Copyright © 2004-2024 vtrois.com All Rights Reserved
更新时间:2026/4/18 18:27:39