网站首页  词典首页


请输入您要查询的字词:

 

字词 过盈联接
类别 中英文字词句释义及详细解析
释义 过盈联接

圆柱面过盈联接的受力情况及应力分布见图4.5-8、4.5-9,计算内容及公式参见表4.5-30。

表4.5-30 圆柱面过盈联接的计算(参见图4.5-8)

传递转矩T所需最小压强:

f应选钢-铸铁间摩擦系数范围内之小值。

配合零件允许的最大压强:

齿圈45钢的屈服极限σs2=280MPa。

轮芯为脆性材料,抗压强度很高,不必再计算。

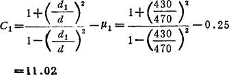
传递转矩T所需最小过盈:

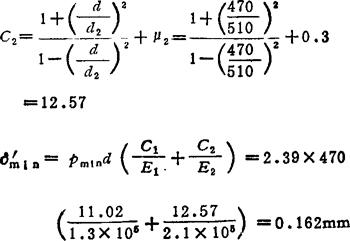
选孔表面粗糙度Ra2=3.2μm,轮芯表面Ra1=1.6μm,查出对应的(表1.7-40)Rz2=12.5μm,Rz1=6.3μm,则δmim=δ′min+1.2(Rz2+Rz1)=0.162+1.2(0.0125+0.0063)=0.185mm。

配合零件允许的最大过盈:

选配合:选H7/s6,孔为轴(轮芯)为,其最大、最小过盈量为△max=0.292mm,△min=0.189mm,满足△min≥δmin;△max<δmax

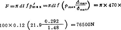
压入力F:

随便看

 

离鸟网收录3541549条中英文词条,其功能与新华字典、现代汉语词典、牛津高阶英汉词典等各类中英文词典类似,基本涵盖了全部常用中英文字词句的读音、释义及用法,是语言学习和写作的有利工具。

 

Copyright © 2004-2024 vtrois.com All Rights Reserved
更新时间:2026/4/18 20:16:28