网站首页  词典首页


请输入您要查询的字词:

 

字词 达西(Darcy)定律
类别 中英文字词句释义及详细解析
释义 达西(Darcy)定律

(1)达西实验定律

法国水力学家达西在1856年研究流经装填有均匀砂粒(砂滤)的垂直管内的水流时,得出了著名的达西定律

式中 q——水的流量;

K——固有渗透系数,其量纲为[L/T];

A——管的截面积;

J——水力梯度,

φ——测压管水头,,其中z为从水平基准面算起位置高度,户/γ为压力水头;

L——含砂粒层的管道长度。

适用于其它液体有压渗流的流动,常将式(1.5-2)改为

式中 μ——液体的粘度;

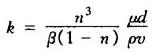
k——渗透率,其量纲为[L2],若在1个大气压/cm(0.1MPa/cm)的压力梯度下,将粘度为1cP的液体,经每1cm2的截面积渗透过1cm3/s的流量时的k值称为1达西。

而渗透率k与渗透系数K的关系

式中 v——液体的运动粘度;

g——重力加速度。

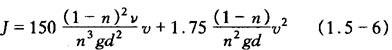
多孔物质的渗透率与物质的空隙率n,液体的物性和流动的雷诺数Re=vd/v有关,Re中的d为组成多孔物质的颗粒直径。k值可按欧根(Ergun)方程来估算,即

时的层流

为湍流时

式中 d——多孔物质的颗粒直径;

ρ——液体密度;

β——无量纲参数,对于光滑颗粒取β=1.8,对粗糙颗粒取β=4。

k值也可按表1.5-2查得。

(2)高雷诺数(Re>10)的渗流计算

当雷诺数Re>10以上时,线性的达西定律则有所偏离。尤其是Re>100时,达西定律已不适用。很多学者作了大量的实验研究,则用“渗流的二项式定律”代替达西定律。

欧根1952年提出下式

式中 v——液体的运动粘度:

d——多孔物质的颗粒直径;

v——液流平均流速。

奥迈德(Ahmad)1967年提出下式

随便看

 

离鸟网收录3541549条中英文词条,其功能与新华字典、现代汉语词典、牛津高阶英汉词典等各类中英文词典类似,基本涵盖了全部常用中英文字词句的读音、释义及用法,是语言学习和写作的有利工具。

 

Copyright © 2004-2024 vtrois.com All Rights Reserved
更新时间:2026/4/18 0:39:15