网站首页  词典首页


请输入您要查询的字词:

 

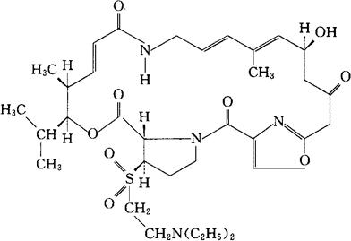
字词 达福斯汀
类别 中英文字词句释义及详细解析
释义 达福斯汀

C34H50N4O9S=690.85

CAS-112362-50-2

(3R,4R,5E,10E,12E,14S,26R,26aS)-26-[[2-(二乙氨基)乙基]磺酰]-8,9,14,15,24,25,26,26a-八氢-14-羟-3-异丙基-4,12-二甲基-3H-21,18-次氮基-1H,22H-吡咯并[2,1c][1,8,4,19]二噁二氮杂环廿四烷-1,7,16,22(4H,7H)-四酮。

(3R,4R,5E,10E,12E,14S,26R,26aS)-26-[[2-(Diethylamino)ethyl]sulfonyl]-8,9,14,15,24,25,26,26a-octahydro-14-hydroxy-3-isopropyl-4,12dimethyl-3H-21,18-nitrilo-1H,22H-pyrrolo[2,1c]-[1,8,4,19]dioxidiazacyclotetracosine-1,7,16,22(4H,7H)-tetrone.

抗菌药。

Dalfopristin.

INN,USAN.

随便看

 

离鸟网收录3541549条中英文词条,其功能与新华字典、现代汉语词典、牛津高阶英汉词典等各类中英文词典类似,基本涵盖了全部常用中英文字词句的读音、释义及用法,是语言学习和写作的有利工具。

 

Copyright © 2004-2024 vtrois.com All Rights Reserved
更新时间:2026/4/18 4:05:15