网站首页  词典首页


请输入您要查询的字词:

 

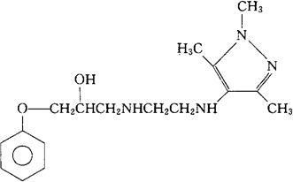
字词 达布米诺
类别 中英文字词句释义及详细解析
释义 达布米诺

C17H26N4O2=318.42

CAS-81528-80-5

(±)-1-苯氧基-3-[[2-[(1,3,5-三甲基吡唑-4-基)氨基]乙基]氨基]-2-丙醇。

(±)-1-Phenoxy-3-[[2-[(1,3,5-trimethylpyrazol-4-yl)amino]ethyl]amino]-2-propanol.

β-受体激动药。

Dalbraminol.

INN,USAN.

随便看

 

离鸟网收录3541549条中英文词条,其功能与新华字典、现代汉语词典、牛津高阶英汉词典等各类中英文词典类似,基本涵盖了全部常用中英文字词句的读音、释义及用法,是语言学习和写作的有利工具。

 

Copyright © 2004-2024 vtrois.com All Rights Reserved
更新时间:2026/4/18 14:17:21