网站首页  词典首页


请输入您要查询的字词:

 

字词 边际替代率
类别 中英文字词句释义及详细解析
释义 边际替代率

边际替代率是无差异曲线的斜率,它可以根据无差异曲线的导数求出。

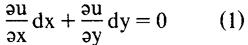
由于无差异曲线是以效用为常数的效用函数,即:

U(XY)=C,所以它的导数便为:

解无差异曲线的斜率,得

(2)式即为x对y的边际替代率。该式表明,在一条无差异曲线的某一点上的x和y的边际替代率,实际上就是y的边际效用和x的边际效用之比。

边际替代率的经济含义是,增加某种商品(x)一定数量所造成的效用增加恰好等于减少另一种商品一定数量所造成的效用损失。

边际替代率呈递减的规律,这就是西方经济学中的“边际替代率递减规律”(the law of decreasing marginal rate of substitution)可以根据下面的无差异曲线图形说明“边际替代率递减规律”。

图中的无差异曲线A上有P、Q、R三点,代表X和Y的三种组合(X1Y1,X2Y2,X3Y3)。横轴表示X的数量,且OX1=X1X2=X2X3。首先从P到Q,若其距离很近或X1X2很小,在Q处X对Y的边际替代率则是:

同样,从Q到R,X对Y的边际替代率则是:

由于X1X2=X2X3,并且从图上看,显然Y1Y2>Y2Y3,所以。这表明从Q到R,边际替代率递减。

这是无差异曲线向右下方倾斜的原因。

随便看

 

离鸟网收录3541549条中英文词条,其功能与新华字典、现代汉语词典、牛津高阶英汉词典等各类中英文词典类似,基本涵盖了全部常用中英文字词句的读音、释义及用法,是语言学习和写作的有利工具。

 

Copyright © 2004-2024 vtrois.com All Rights Reserved
更新时间:2026/4/18 17:29:06