网站首页  词典首页


请输入您要查询的字词:

 

字词 边际产品、要素产出弹性、边际替代率、替代弹性的关系
类别 中英文字词句释义及详细解析
释义 边际产品、要素产出弹性、边际替代率、替代弹性的关系

设表现技术关系的生产函数为f(x),x=(x1,…,xn)是投入要素向量。

投入要素xi的边际产品是生产函数关于xi的一阶偏导数,记为MPi(x),即MPi(x)=#f(x)/xi。它表示在投入为x的水平上,第i种要素增加一个单位时产出的增加量。

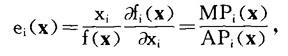
第i种要素xi的产出弹性ei(x)(又称产出偏弹性)定义为

其中APi(x)=是第i种要素的平均产出。

ei(x)表示在投入为x的水平上,第i种要素增加(减少)1%时产出变化的百分率,它也表示边际产出与平均产出之比。

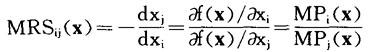
对指定的产出y,由生产函数f(x)=y知,有多种不同的要素组合x能生产y,因此投入要素之间有一种相互替代的可能性。要素xi和 xj之间(在产出y和其他要素固定的条件下)的替代可能性有两种度量,一种称为边际替代率MRSij(x),定义为

它表示在保持产量y和其他投入要素不变的情况下,增加(减少)一单位第i种要素的投入时所必须减少(增加)的第j种要素的投入量。

另一种替代性度量是替代弹性δ,定义为:

其中fif(x)/xi,fjf(x)/xj。替代弹性δ表示对指定的产出y,xi和xj的边际替代率变化1%时,要素比xj/xi的变化百分率。

随便看

 

离鸟网收录3541549条中英文词条,其功能与新华字典、现代汉语词典、牛津高阶英汉词典等各类中英文词典类似,基本涵盖了全部常用中英文字词句的读音、释义及用法,是语言学习和写作的有利工具。

 

Copyright © 2004-2024 vtrois.com All Rights Reserved
更新时间:2026/4/18 21:40:45